LEMON Manuals: Even more car manuals for everyone: 1960-2025
Home >> Cadillac >> 2003 >> Seville V8-4.6L VIN 9 >> Repair and Diagnosis >> Specifications >> Mechanical Specifications >> Engine >> Cylinder Block Assembly >> System Specifications
April 5, 2026: LEMON Manuals is launched! Read the announcement.

System Specifications

GENERAL








Fastener Tightening Specifications





Enigine Mechanical




Main Bearing Cap

First Pass
Tighten the lower crankcase bearing bolts (1 through 20) to 20 Nm (15 ft. lbs.) in the proper sequence.
Final Pass
Tighten the lower crankcase bolts (1 through 20) an additional 65 degrees in the proper sequence using the J 36660-A.

OVERHAUL











Fastener Tightening Specifications

















Engine Mechanical Specifications


THREAD REPAIR SPECIFICATIONS





Left Cylinder Head Camshaft Cover Face








Left Cylinder Head Camshaft Cover Face





Left Cylinder Head Front Face





Left Cylinder Head Front Face





Left Cylinder Head Intake Face





Left Cylinder Head Intake Face





Left Cylinder Head Exhaust Face





Left Cylinder Head Exhaust Face





Left Cylinder Head Rear Face





Left Cylinder Head Rear Face





Right Cylinder Head Camshaft Cover Face








Right Cylinder Head Camshaft Cover Face





Right Cylinder Head Front Face





Right Cylinder Head Front Face





Right Cylinder Head Intake Face





Right Cylinder Head Intake Face





Right Cylinder Head Exhaust Face





Right Cylinder Head Exhaust Face





Right Cylinder Head Rear Face





Right Cylinder Head Rear Face





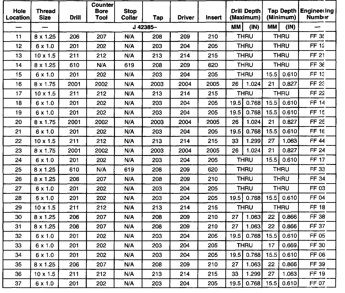
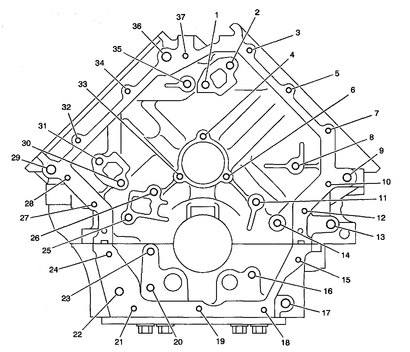
Engine Block Front








Engine Block Front





Engine Block Left Side





Engine Block Left Side





Engine Block Right Side





Engine Block Right Side





Engine Block Rear








Engine Block Rear





Engine Block Top





Engine Block Top





Engine Block Left Deck Face





Engine Block Left Deck Face





Engine Block Right Deck Face





Engine Block Right Deck Face





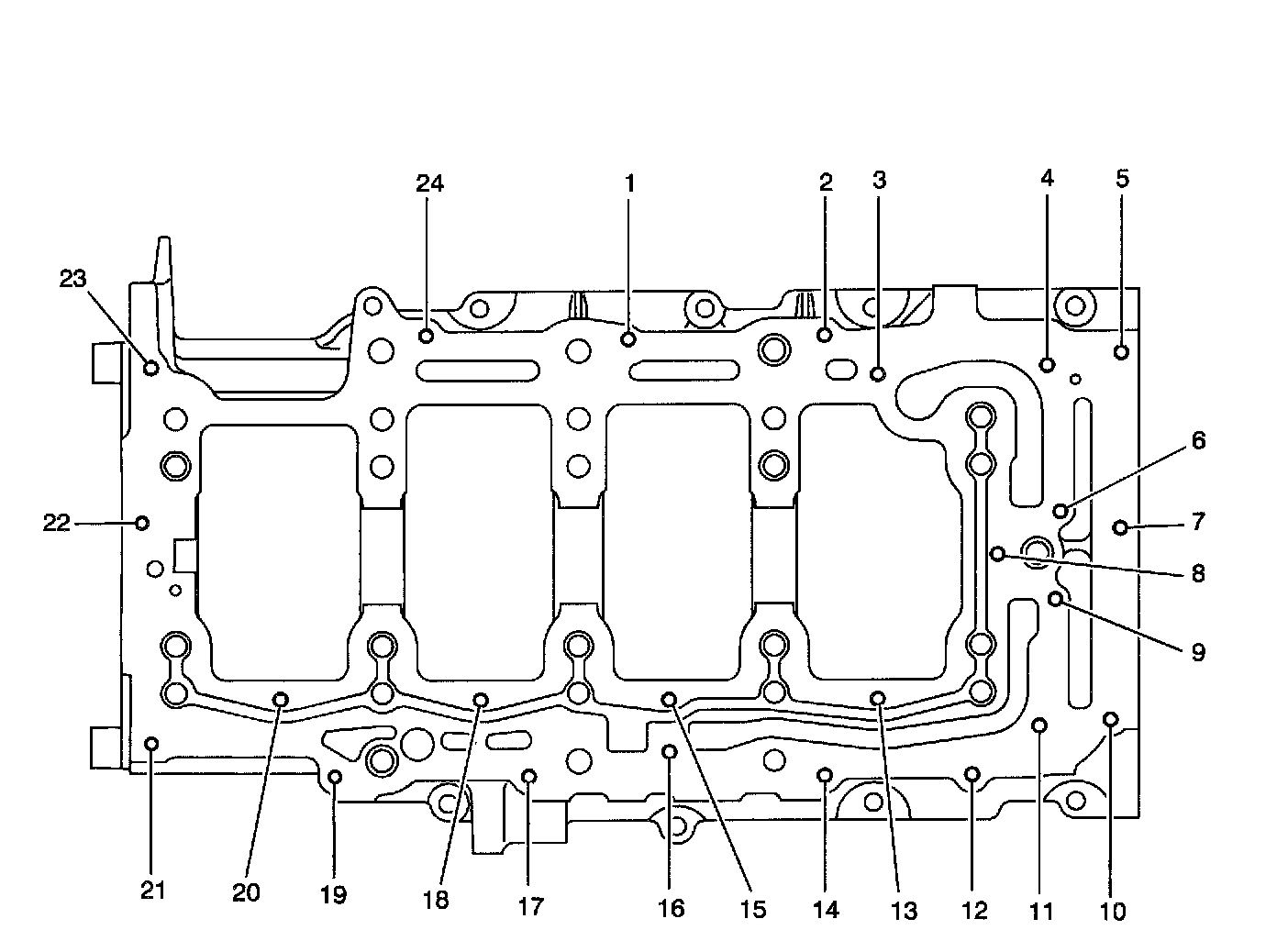
Engine Block Lower Face








Engine Block Lower Face





Lower Crankcase Pan Face








Lower Crankcase Pan Face