LEMON Manuals: Even more car manuals for everyone: 1960-2025
Home >> Cadillac >> 2007 >> DTS V8-4.6L >> Repair and Diagnosis >> Heating and Air Conditioning >> Testing and Inspection >> Scan Tool Testing and Procedures >> Scan Tool Data List
April 5, 2026: LEMON Manuals is launched! Read the announcement.

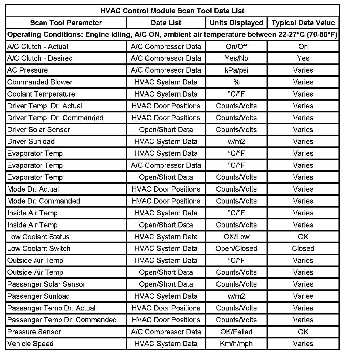
Scan Tool Data List



Scan Tool Data List