LEMON Manuals: Even more car manuals for everyone: 1960-2025
Home >> Cadillac >> 2007 >> DTS V8-4.6L >> Repair and Diagnosis >> Specifications >> Electrical Specifications >> Automatic Transmission/Transaxle >> Transmission Fluid Temperature Sensor Specifications
April 5, 2026: LEMON Manuals is launched! Read the announcement.

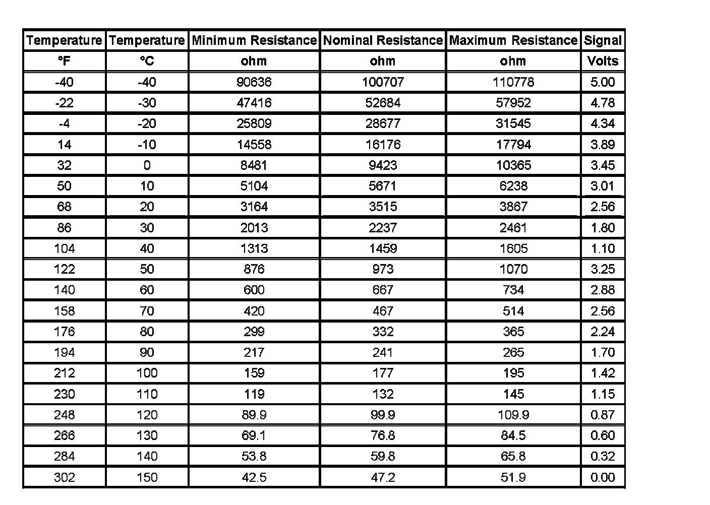
Transmission Fluid Temperature Sensor Specifications



Transmission Fluid Temperature Sensor Specifications

Transmission Fluid Temperature Sensor Specifications: