LEMON Manuals: Even more car manuals for everyone: 1960-2025
Home >> Cadillac >> 2007 >> Escalade EXT >> Repair and Diagnosis >> External Pages >> Different car >> Section 119 (Engine Controls Self-Diagnostics) >> Diagnostic Tests >> DTC P0125: Excessive Time To Enter Closed Loop Fuel Control >> Diagnostic Procedures
April 5, 2026: LEMON Manuals is launched! Read the announcement.

Diagnostic Procedures

WARNING: This page is about a different car, the 2003 Chevrolet Corvette. However, it is still accessible from the selected car via links, so may be relevant.
  1. Did you perform the Diagnostic System Check-Engine Controls? If yes, go to next step. If no, see DIAGNOSTIC SYSTEM CHECK - ENGINE CONTROLS  under SELF-DIAGNOSTIC SYSTEM.
  2. Is the cooling system low on coolant? If yes, locate and repair source of coolant loss and refill system. If no, go to next step.
  3. Turn ignition OFF. Disconnect ECT sensor. Connect a 3-amp fused jumper wire between the ECT sensor signal circuit and the ECT sensor low reference circuit. Turn ignition ON, with engine OFF. Observe ECT sensor temperature with a scan tool. Does the scan tool indicate ECT sensor temperature is greater than 280°F (138°C)? If yes, go to step  7. If no, go to next step.
  4. Turn ignition OFF. Disconnect ECT sensor. Connect a 3-amp fused jumper wire between the ECT sensor signal circuit and a good ground. Turn ignition ON, with engine OFF. Observe ECT sensor temperature with a scan tool. Does the scan tool indicate ECT sensor temperature is greater than 280°F (138°C)? If yes, go to next step. If no, go to step  6.
  5. Test ECT sensor low reference circuit for an open or high resistance. Did you find and correct the condition? If yes, go to step  10. If no, go to DIAGNOSTIC AIDS .
  6. Test ECT sensor signal circuit for an open or high resistance. Did you find and correct the condition? If yes, go to step  10. If no, go to DIAGNOSTIC AIDS .
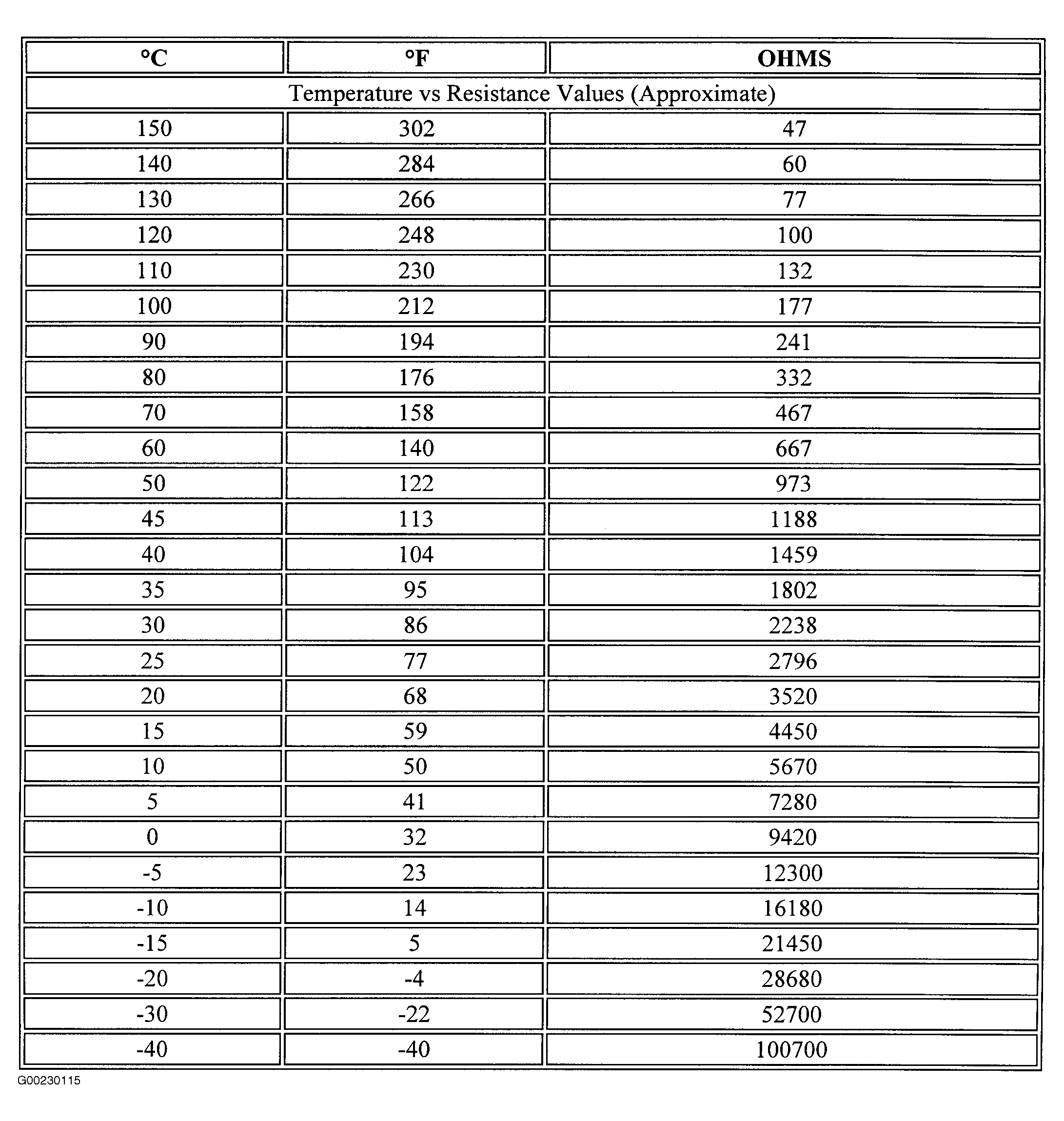
  7. Remove ECT sensor. See ENGINE COOLANT TEMPERATURE SENSOR under SENSORS in REMOVAL & INSTALLATION - CORVETTE article. Suspend ECT sensor and a thermometer in a pan of water. Place the pan on a burner or hot plate. Test the resistance of the ECT sensor through 50-194°F (10-90°C). See Figure. Does the resistance and temperature closely match the Temperature vs. Resistance table? If yes, go to next step. If no, go to step  9.
  8. Install ECT sensor. Diagnose and repair engine not reaching normal operating temperature.
  9. Replace ECT sensor. See ENGINE COOLANT TEMPERATURE SENSOR under SENSORS in REMOVAL & INSTALLATION - CORVETTE article. Did you complete the replacement? If yes, go to next step.
  10. Clear the DTCs with a scan tool. Turn OFF the ignition for 30 seconds. Start the engine. Operate the vehicle within the Conditions for Running the DTC. You may also operate the vehicle within the conditions that you observed from the Freeze Frame/Failure records. Did the DTC fail this ignition cycle? If yes, go to step  2. If no, go to next step.
  11. Observe the Capture Info with a scan tool. Are there any DTCs that have not been diagnosed? If yes, see DIAGNOSTIC TROUBLE CODE DEFINITIONS . If no, system is okay.