LEMON Manuals: Even more car manuals for everyone: 1960-2025
Home >> Cadillac >> 2007 >> Escalade EXT >> Repair and Diagnosis >> External Pages >> Different car >> Section 265 (On-Board Diagnostic [Engine Control System]) >> DTC P2127: App Sensor No. 2 Circuit Low Input >> Diagnostic procedure
April 5, 2026: LEMON Manuals is launched! Read the announcement.

Diagnostic procedure

WARNING: This page is about a different car, the 2004 Mazda 3. However, it is still accessible from the selected car via links, so may be relevant.
Fig 1: DTC P2127: Diagnostic Procedure Chart (Steps 1-3)
G00974528Courtesy of MAZDA MOTORS CORP.
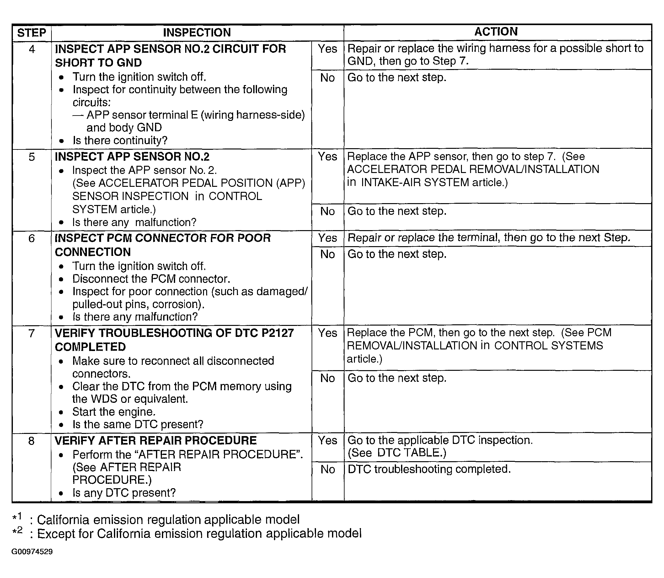
Fig 2: DTC P2127: Diagnostic Procedure Chart (Steps 4-8)
G00974529Courtesy of MAZDA MOTORS CORP.