LEMON Manuals: Even more car manuals for everyone: 1960-2025
Home >> Cadillac >> 2007 >> STS AWD V6-3.6L >> Repair and Diagnosis >> Specifications >> Electrical Specifications >> Automatic Transmission/Transaxle >> Transmission Temperature Sensor/Switch, A/T
April 5, 2026: LEMON Manuals is launched! Read the announcement.

Transmission Temperature Sensor/Switch, A/T



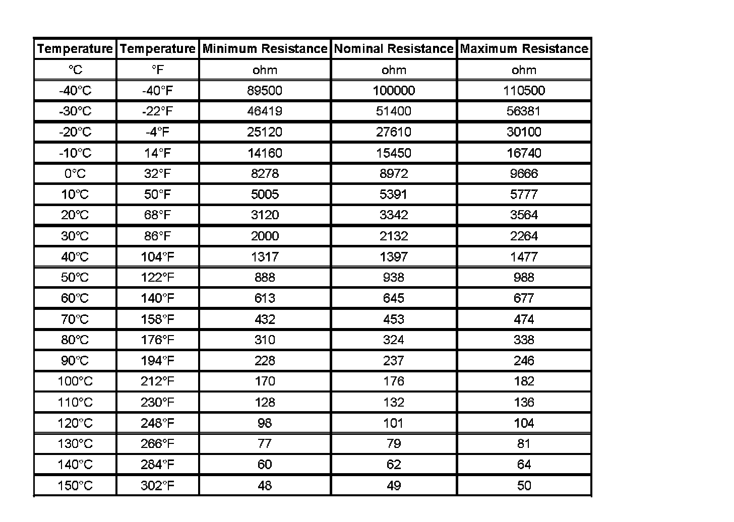
Transmission Fluid Temperature Sensor Specifications

Transmission Fluid Temperature Sensor Specifications: