LEMON Manuals: Even more car manuals for everyone: 1960-2025
Home >> Cadillac >> 2009 >> Escalade AWD V8-6.2L >> Repair and Diagnosis >> Testing and Inspection >> Scan Tool Testing and Procedures >> Inflatable Restraint Sensing and Diagnostic Module Scan Tool Information
April 5, 2026: LEMON Manuals is launched! Read the announcement.

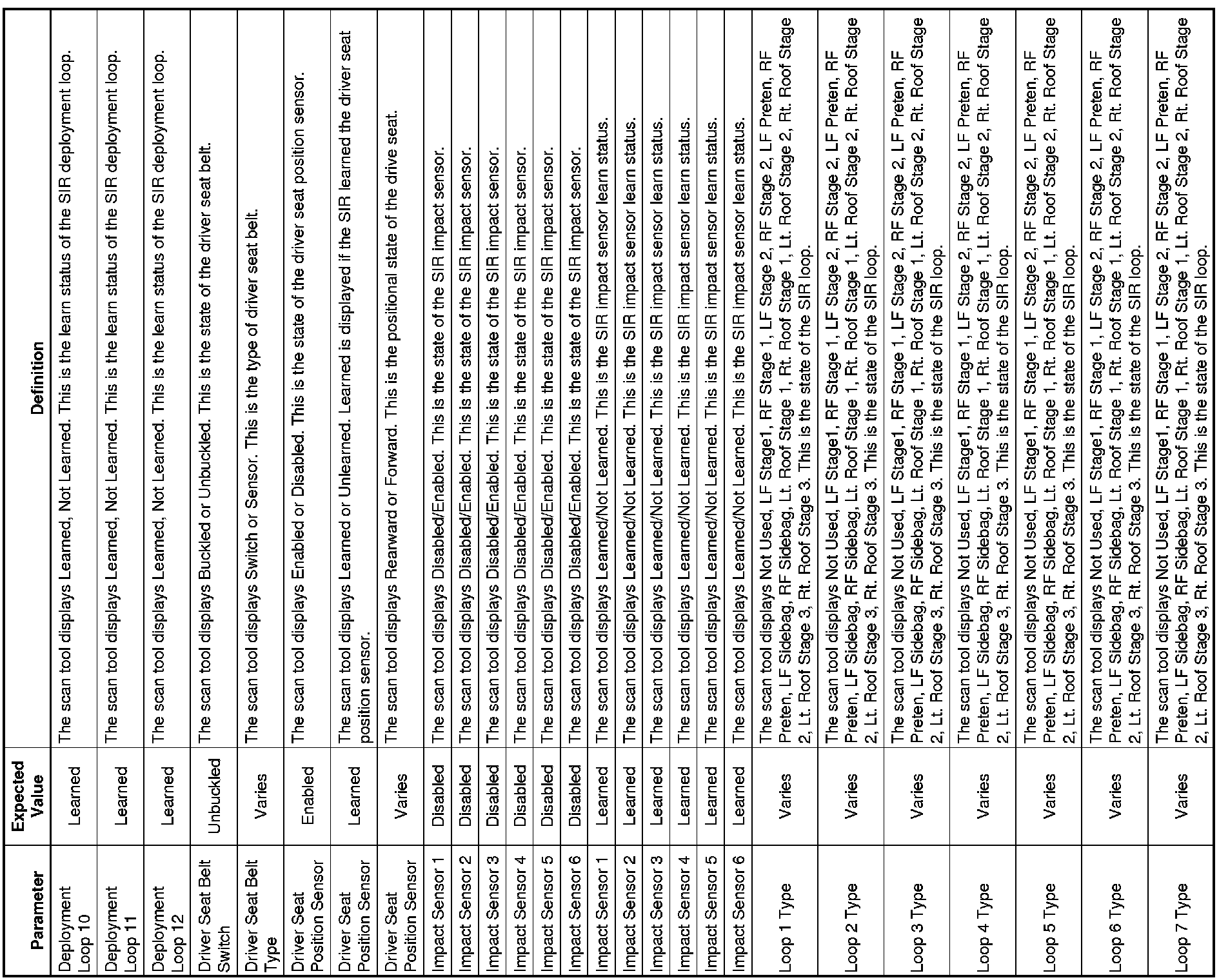
Inflatable Restraint Sensing and Diagnostic Module Scan Tool Information




Inflatable Restraint Sensing and Diagnostic Module Scan Tool Information