LEMON Manuals: Even more car manuals for everyone: 1960-2025
Home >> Cadillac >> 2010 >> CTS Sedan AWD V6-3.6L >> Repair and Diagnosis >> Specifications >> Mechanical Specifications >> Engine >> System Specifications >> Engine Mechanical Specifications
April 5, 2026: LEMON Manuals is launched! Read the announcement.

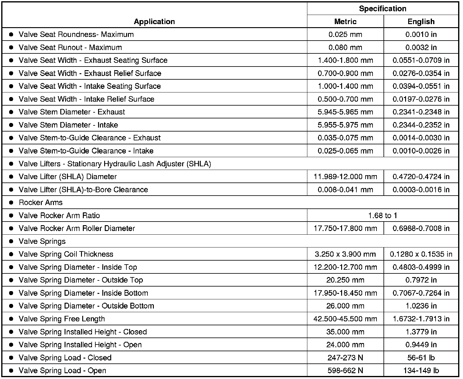
Engine Mechanical Specifications




Engine Mechanical Specifications (LLT)