LEMON Manuals: Even more car manuals for everyone: 1960-2025
Home >> Dodge and Ram >> 2012 >> Charger AWD V8-5.7L >> Repair and Diagnosis >> Powertrain Management >> Computers and Control Systems >> Relays and Modules - Computers and Control Systems >> Body Control Module >> Technical Service Bulletins >> All Technical Service Bulletins >> Canada - Campaign - M15 TPMS Sensors/Reprogam BCM/IPC
April 5, 2026: LEMON Manuals is launched! Read the announcement.

Canada - Campaign - M15 TPMS Sensors/Reprogam BCM/IPC

Bulletin
M15

Issue Date
2012-04-20

IMPORTANT

DEALER SERVICE INSTRUCTIONS

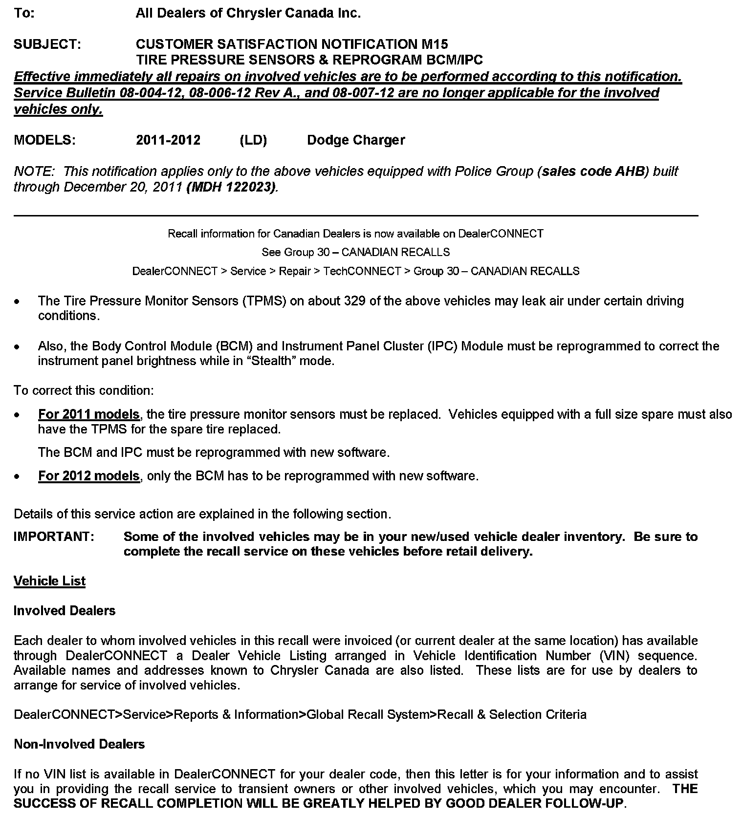
CUSTOMER SATISFACTION NOTIFICATION M15 TIRE PRESSURE SENSORS & REPROGRAM BCM/IPC

MODELS:
2011-2012 (LD) Dodge Charger

NOTE:
This notification applies only to the above vehicles equipped with Police Group (sales code AHB) built through December 20, 2011 (MDH 122023).

^ The Tire Pressure Monitor Sensors (TPMS) on about 329 of the above vehicles may leak air under certain driving conditions.

^ Also, the Body Control Module (BCM) and Instrument Panel Cluster (IPC) Module must be reprogrammed to correct the instrument panel brightness while in "Stealth" mode.

To correct this condition:

^ For 2011 models, the tire pressure monitor sensors must be replaced. Vehicles equipped with a full size spare must also have the TPMS for the spare tire replaced.

The BCM and IPC must be reprogrammed with new software.

^ For 2012 models, only the BCM has to be reprogrammed with new software.

Recall and Parts Information
Canadian Recall Service Instructions and Part Numbers can be different. Always use the attached Canadian Recall Notification for service instructions and parts information.

This Canadian Recall Notification can also be found in DealerCONNECT - See below:

DealerCONNECT > Service > In the Repair section TechCONNECT > 30 - CANADIAN RECALLS

The V.I.N. range for vehicles involved in this campaign is as follows:

2B3CL1CG4BH500844 - 2B3CL1CG0BH593359
2C3CDXAG7CH101773 - 2C3CDXAG4CH177791

DEALER VIN LISTS Located in DealerCONNECT - Global Recall System (GRS)

GRS has been developed to provide dealers with an up-to-date list of involved vehicles by recall number and by dealer code. Owners known to Chrysler are also listed. Involved vehicles will be removed from the GRS within several days of submitting repair claims.

To use the GRS in DealerCONNECT, you first need to click on the Service tab and then in the Repair section click on Global Recall System. Your dealer's VIN list for each Recall can be sorted by: Unsold Vehicles (at the time of Recall launch), Phone Number, City Name, Zip Code (Postal Code) or VIN.
































Dealer Information





Owner Letter