LEMON Manuals: Even more car manuals for everyone: 1960-2025
Home >> Dodge and Ram >> 2024 >> ProMaster 2500 Base >> Repair and Diagnosis >> General Information >> OEM General Information >> Circuit Testing Procedures - Non-DTC-Based Diagnostics >> Standard Procedure >> Check For An Open Ground Circuit >> Theory Of Operation
April 5, 2026: LEMON Manuals is launched! Read the announcement.

Theory Of Operation

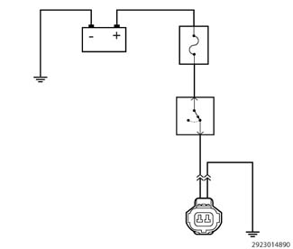
GC0222630Courtesy of CHRYSLER GROUP, LLC

The purpose of the following procedure is to demonstrate how to check the operation of a generic ground circuit with a test light.

NOTE:

The circuit shown in the illustration is an example, and is intended for demonstrational purpose only. 

The following are circuit tests covered in this procedure:

NOTE: Perform the following test using a known good test light. 
Possible Causes
OPEN GROUND CIRCUIT (CHAFED, PIERCED, PINCHED OR BROKEN WIRE)
OPEN IN-LINE CONNECTOR (BENT, PUSHED OUT OR CORRODED TERMINALS)