LEMON Manuals: Even more car manuals for everyone: 1960-2025
Home >> Ford >> 1982 >> F 150 2WD Pickup V8-255 4.2L >> Repair and Diagnosis >> Specifications >> Mechanical Specifications >> Carburetor >> System Specifications
April 5, 2026: LEMON Manuals is launched! Read the announcement.

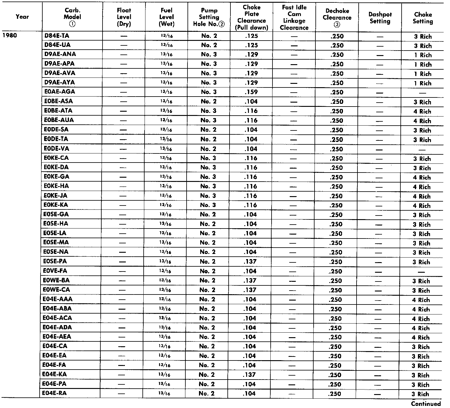
System Specifications

Carburetor:



Carburetor:



Carburetor:



1982 2150 2V ADJUSTMENT SPECIFICATIONS: