LEMON Manuals: Even more car manuals for everyone: 1960-2025
Home >> Ford >> 1994 >> Escort L4-110 1.8L DOHC >> Repair and Diagnosis >> Specifications >> Electrical Specifications >> Computers and Control Systems >> System Specifications >> Automatic Transaxle
April 5, 2026: LEMON Manuals is launched! Read the announcement.

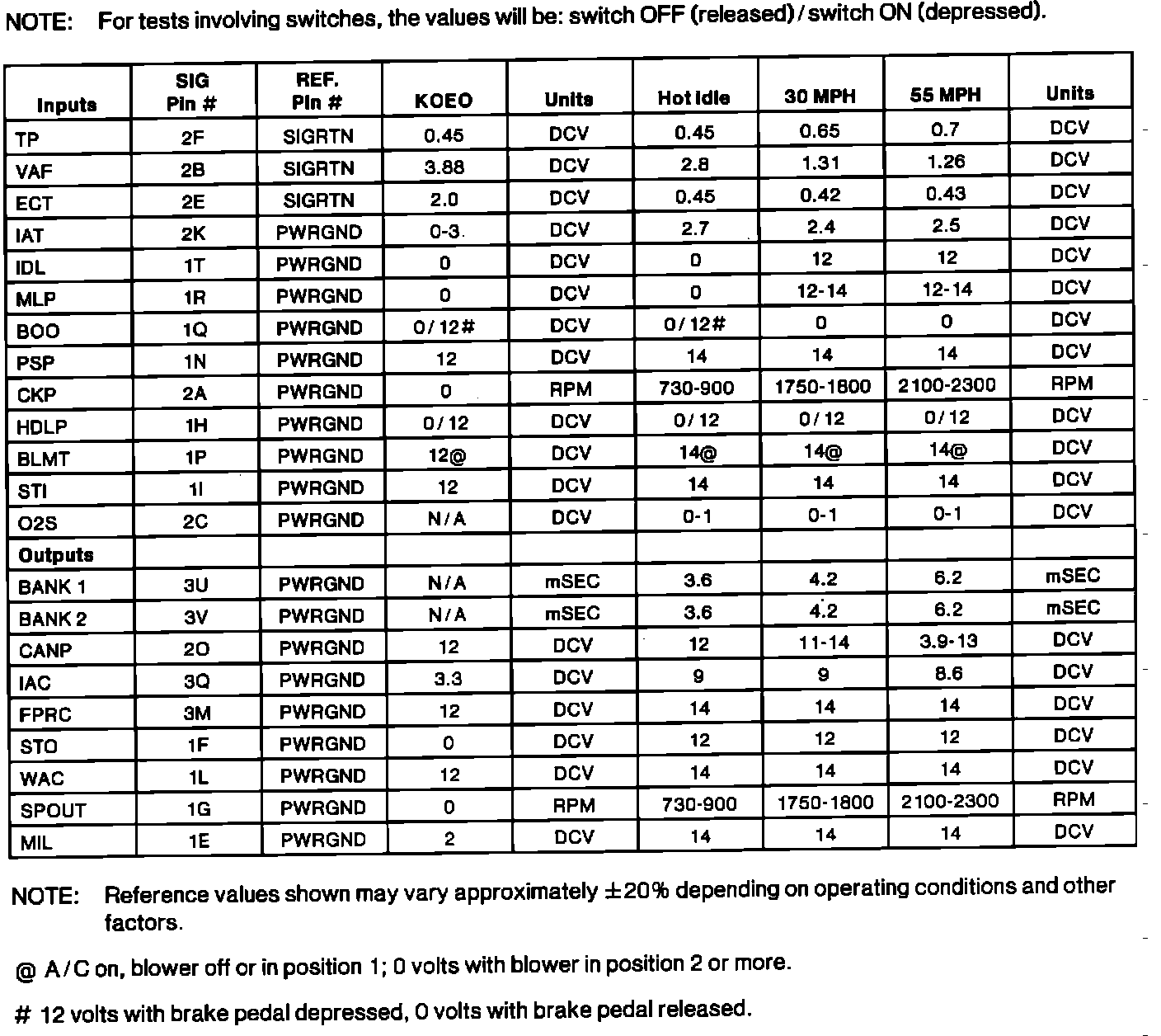
Automatic Transaxle

Diagnostic Reference Values: