LEMON Manuals: Even more car manuals for everyone: 1960-2025
Home >> Ford >> 1995 >> Aspire L4-81 1.3L SOHC >> Repair and Diagnosis >> Powertrain Management >> Computers and Control Systems >> Testing and Inspection >> Scan Tool Testing and Procedures >> Normal Scan Data Values (Includes PID's) >> Diagnostic Reference Values
April 5, 2026: LEMON Manuals is launched! Read the announcement.

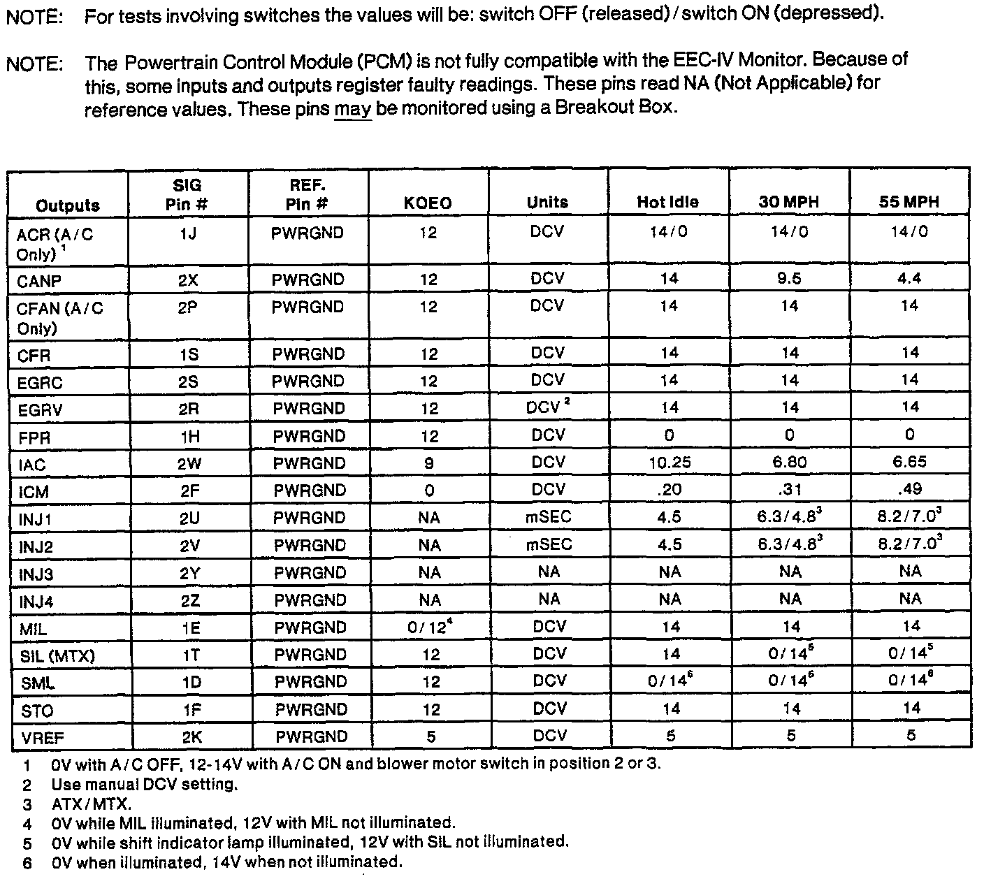
Diagnostic Reference Values

Inputs:



Outputs: