LEMON Manuals: Even more car manuals for everyone: 1960-2025
Home >> Ford >> 2000 >> Contour SVT >> Repair and Diagnosis >> External Pages >> Different car >> Section 395 (Four- Wheel Drive Systems) >> Diagnosis & Testing >> Functional Test - Electronic Shift >> Pinpoint Test C: Electronic Shift Functional Test
April 5, 2026: LEMON Manuals is launched! Read the announcement.

Pinpoint Test C: Electronic Shift Functional Test

WARNING: This page is about a different car, the 2002 Ford Ranger. However, it is still accessible from the selected car via links, so may be relevant.
CAUTION: The function test must be carried out on a hard surface in a vacant area without traffic.
Fig 1: Pinpoint Test C: Electronic Shift Functional Test (C1-C2)
G02153222Courtesy of FORD MOTOR CO.
Fig 2: Pinpoint Test C: Electronic Shift Functional Test (C3-C4)
G02153223Courtesy of FORD MOTOR CO.
Fig 3: Pinpoint Test C: Electronic Shift Functional Test (C4-C6)
G02153224Courtesy of FORD MOTOR CO.
Fig 4: Pinpoint Test C: Electronic Shift Functional Test (C6-C8)
G02153225Courtesy of FORD MOTOR CO.
Fig 5: Pinpoint Test C: Electronic Shift Functional Test (C8-C10)
G02153226Courtesy of FORD MOTOR CO.
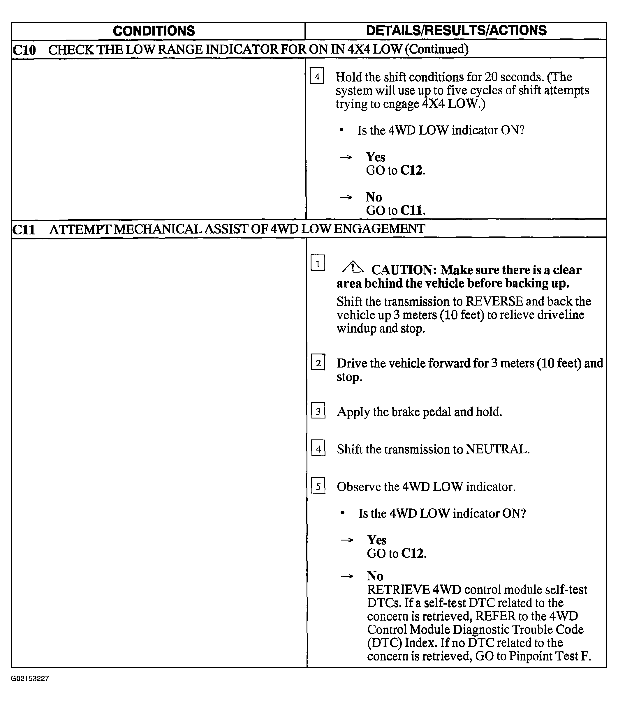
Fig 6: Pinpoint Test C: Electronic Shift Functional Test (C10-C11)
G02153227Courtesy of FORD MOTOR CO.
Fig 7: Pinpoint Test C: Electronic Shift Functional Test (C12-C13)
G02153228Courtesy of FORD MOTOR CO.
Fig 8: Pinpoint Test C: Electronic Shift Functional Test (C14-C16)
G02153229Courtesy of FORD MOTOR CO.
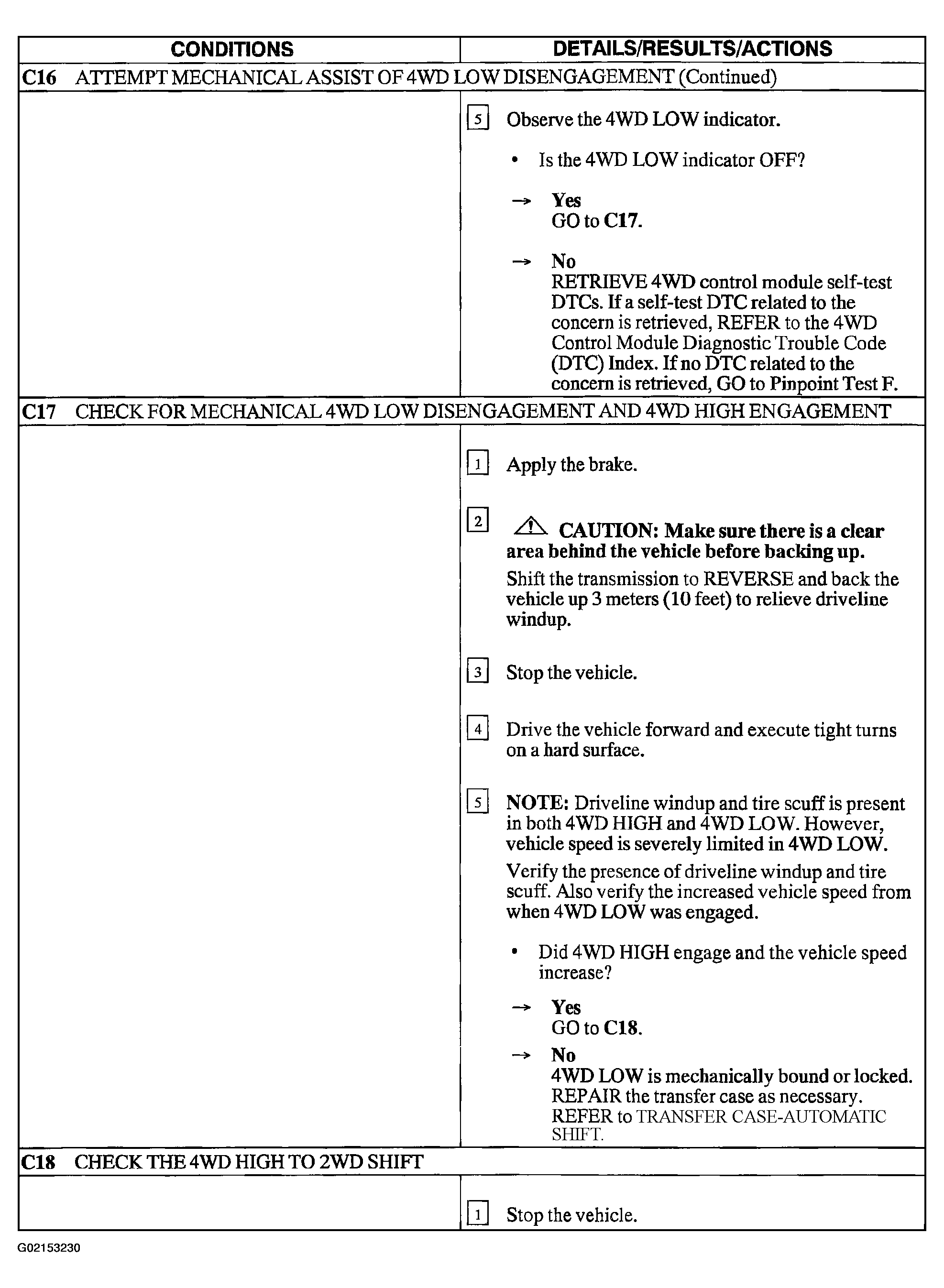
Fig 9: Pinpoint Test C: Electronic Shift Functional Test (C16-C18)
G02153230Courtesy of FORD MOTOR CO.
Fig 10: Pinpoint Test C: Electronic Shift Functional Test (C18-C20)
G02153231Courtesy of FORD MOTOR CO.