LEMON Manuals: Even more car manuals for everyone: 1960-2025
Home >> Ford >> 2001 >> Windstar V6-3.8L VIN 4 >> Repair and Diagnosis >> Powertrain Management >> Computers and Control Systems >> Information Bus >> Testing and Inspection >> Pinpoint Tests >> Pinpoint Test PC (Precheck)
April 5, 2026: LEMON Manuals is launched! Read the announcement.

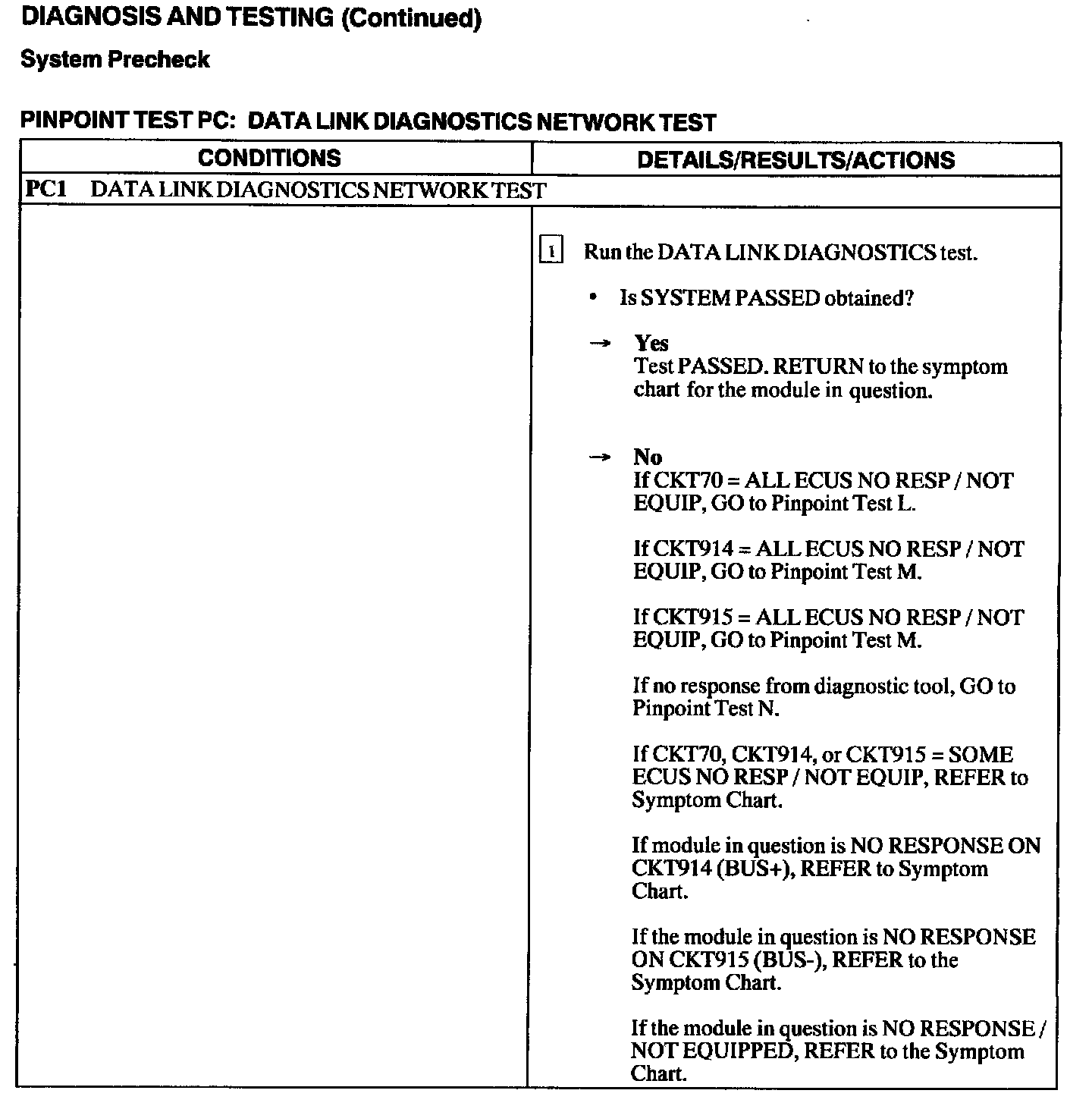
Pinpoint Test PC (Precheck)

PC1: