LEMON Manuals: Even more car manuals for everyone: 1960-2025
Home >> Ford >> 2002 >> F 150 2WD Pickup V8-4.6L >> Repair and Diagnosis >> Body and Frame >> Locks >> Keyless Entry >> Testing and Inspection >> Pinpoint Tests >> Test K: Doors Do Not Lock/Unlock Using Keyless Entry Remote
April 5, 2026: LEMON Manuals is launched! Read the announcement.

Test K: Doors Do Not Lock/Unlock Using Keyless Entry Remote

K1 - K4:






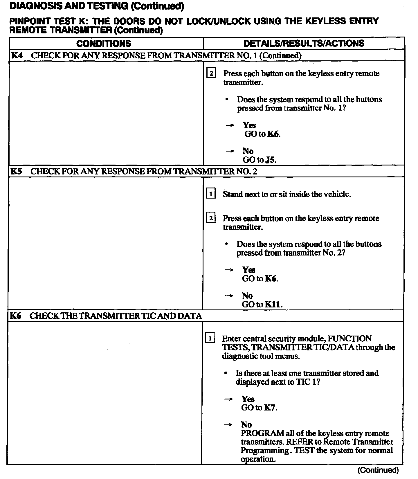
K4 - K6:






K7 - K8:






K9 - K11:






K11 - K12: