LEMON Manuals: Even more car manuals for everyone: 1960-2025
Home >> Ford >> 2002 >> Thunderbird V8-3.9L VIN A >> Repair and Diagnosis >> Specifications >> Pressure, Vacuum and Temperature Specifications >> Compression Check
April 5, 2026: LEMON Manuals is launched! Read the announcement.

Compression Check

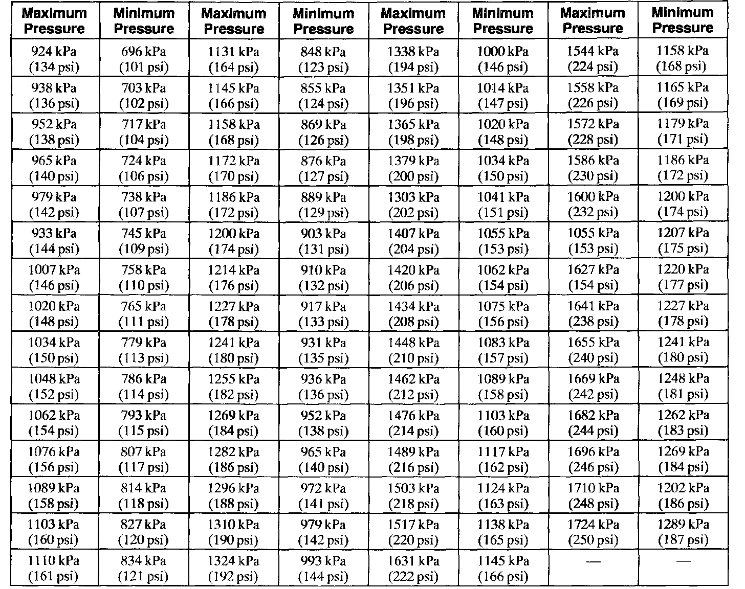
AllData Editors Note - Ford does not provide a cranking pressure specification, only an acceptable range.





The indicated compression pressures are considered within specification if the lowest reading cylinder is within 75 percent of the highest reading.