LEMON Manuals: Even more car manuals for everyone: 1960-2025
Home >> Ford >> 2002 >> Windstar V6-3.8L VIN 4 >> Repair and Diagnosis >> Powertrain Management >> Computers and Control Systems >> Information Bus >> Testing and Inspection >> Pinpoint Tests >> Test M: No Module/Network Communication - SCP Network
April 5, 2026: LEMON Manuals is launched! Read the announcement.

Test M: No Module/Network Communication - SCP Network

M1:






M2 - M3:






M3 - M4:






M5 - M6:






M7 - M8:






M9 - M10:






M11:






M12:






M13 - M14:






M14 - M15:






M16 - M17:






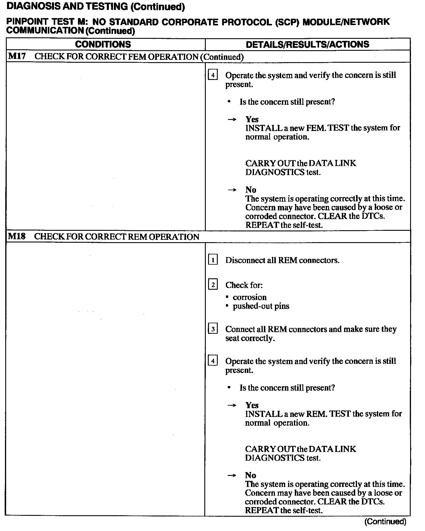
M17 - M18:






M19 - M20:






M20: