LEMON Manuals: Even more car manuals for everyone: 1960-2025
Home >> Ford >> 2003 >> Excursion 4WD V8-6.0L DSL Turbo >> Repair and Diagnosis >> Maintenance >> Alignment >> Specifications >> Camber/Caster Service Adjuster Selection Chart
April 5, 2026: LEMON Manuals is launched! Read the announcement.

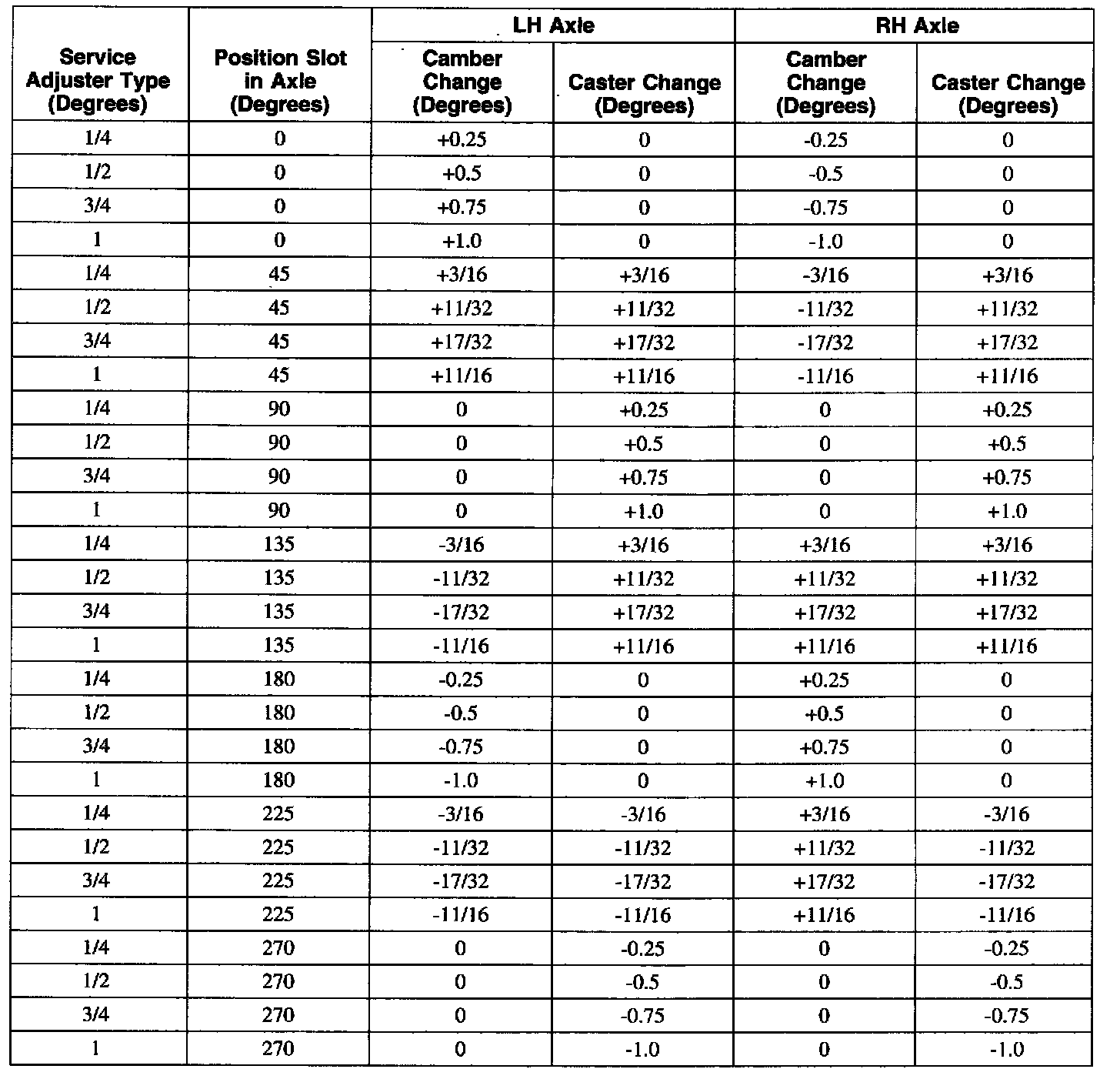
Camber/Caster Service Adjuster Selection Chart

Camber/Caster Service Adjuster-F-250 and F-350, 4x4 and F-450, F-550

Part 1 Of 2:




Part 2 Of 2: