LEMON Manuals: Even more car manuals for everyone: 1960-2025
Home >> Ford >> 2004 >> Taurus SES, 3.0 2 >> Repair and Diagnosis >> Engine Mechanical >> Mechanical >> Engine System-General Information >> Diagnosis And Testing >> Engine >> Symptom Chart
April 5, 2026: LEMON Manuals is launched! Read the announcement.

Symptom Chart

Fig 1: Symptom Chart (1 Of 4)
G01363251Courtesy of FORD MOTOR CO.
Fig 2: Symptom Chart (2 Of 4)
G01363252Courtesy of FORD MOTOR CO.
Fig 3: Symptom Chart (3 Of 4)
G01363253Courtesy of FORD MOTOR CO.
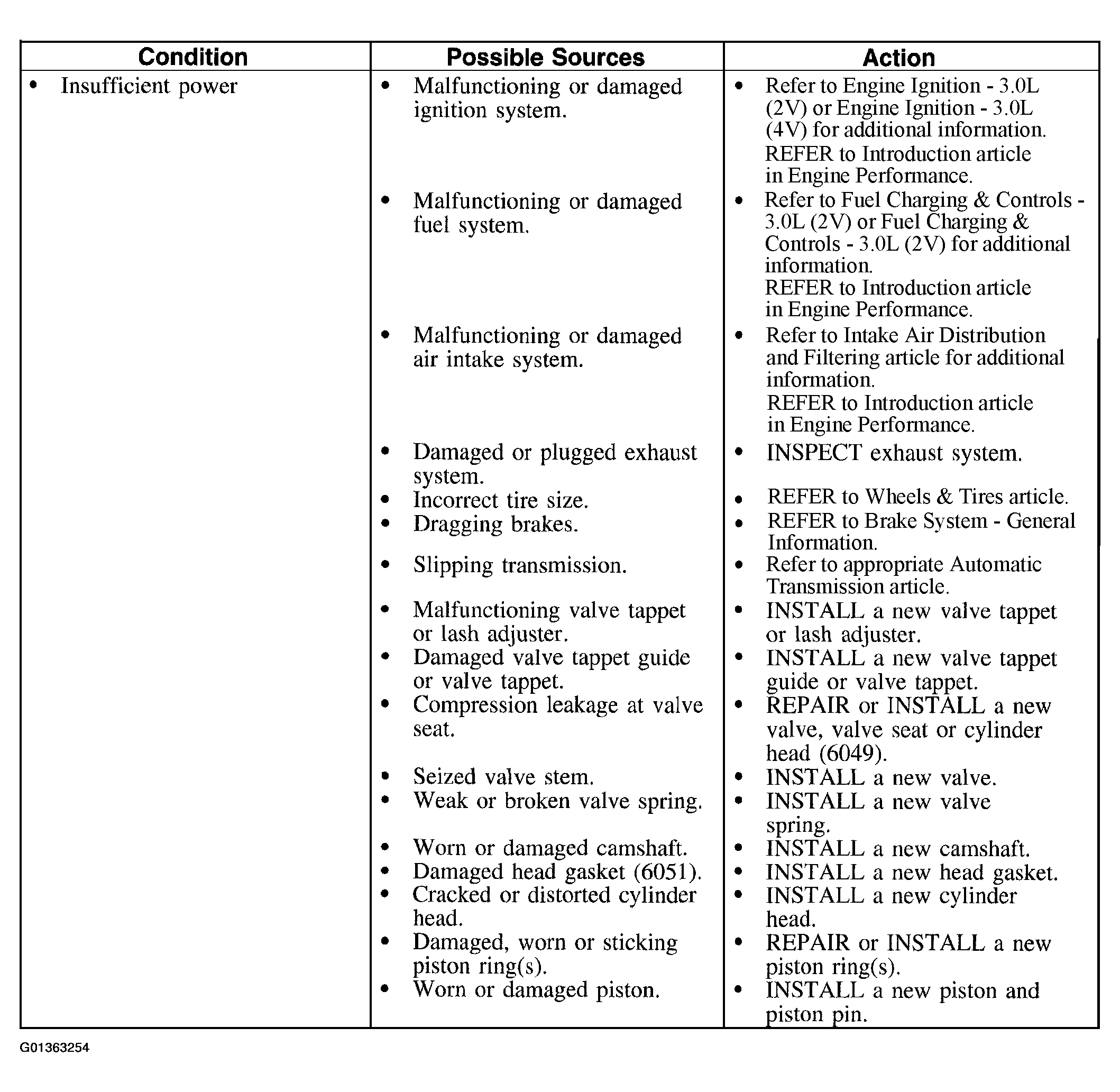
Fig 4: Symptom Chart (4 Of 4)
G01363254Courtesy of FORD MOTOR CO.