LEMON Manuals: Even more car manuals for everyone: 1960-2025
Home >> Ford >> 2007 >> Ranger 2WD L4-2.3L VIN D >> Repair and Diagnosis >> Powertrain Management >> Tune-up and Engine Performance Checks >> Compression Check >> Specifications
April 5, 2026: LEMON Manuals is launched! Read the announcement.

Compression Check: Specifications

AllData Editors Note - Ford does not provide a cranking pressure specification, only an acceptable range.

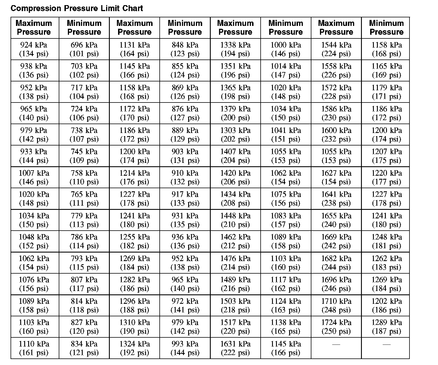
Compression Test - Test Results
The indicated compression pressures are considered within specification if the lowest reading cylinder is at least 75 percent of the highest reading. Refer to the Compression Pressure Limit Chart.

Compression Pressure Limit Chart

Compression Pressure Limit Chart: