LEMON Manuals: Even more car manuals for everyone: 1960-2025
Home >> Ford >> 2010 >> Escape 2WD L4-2.5L Hybrid >> Repair and Diagnosis >> Powertrain Management >> Computers and Control Systems >> Testing and Inspection >> Pinpoint Tests >> Test KC: Fuel Pump Control Module
April 5, 2026: LEMON Manuals is launched! Read the announcement.

Test KC: Fuel Pump Control Module

PINPOINT TEST KC: FUEL PUMP CONTROL MODULE


Warning And Fuel Pump Control Module Connector:






Inertia Fuel Shutoff (IFS) Switch Connector And Powertrain Control Module (PCM) Connector:






KC1-KC3:






KC4-KC7:






KC8-KC11:






KC12-KC14:






KC15-KC18:






KC19-KC22:






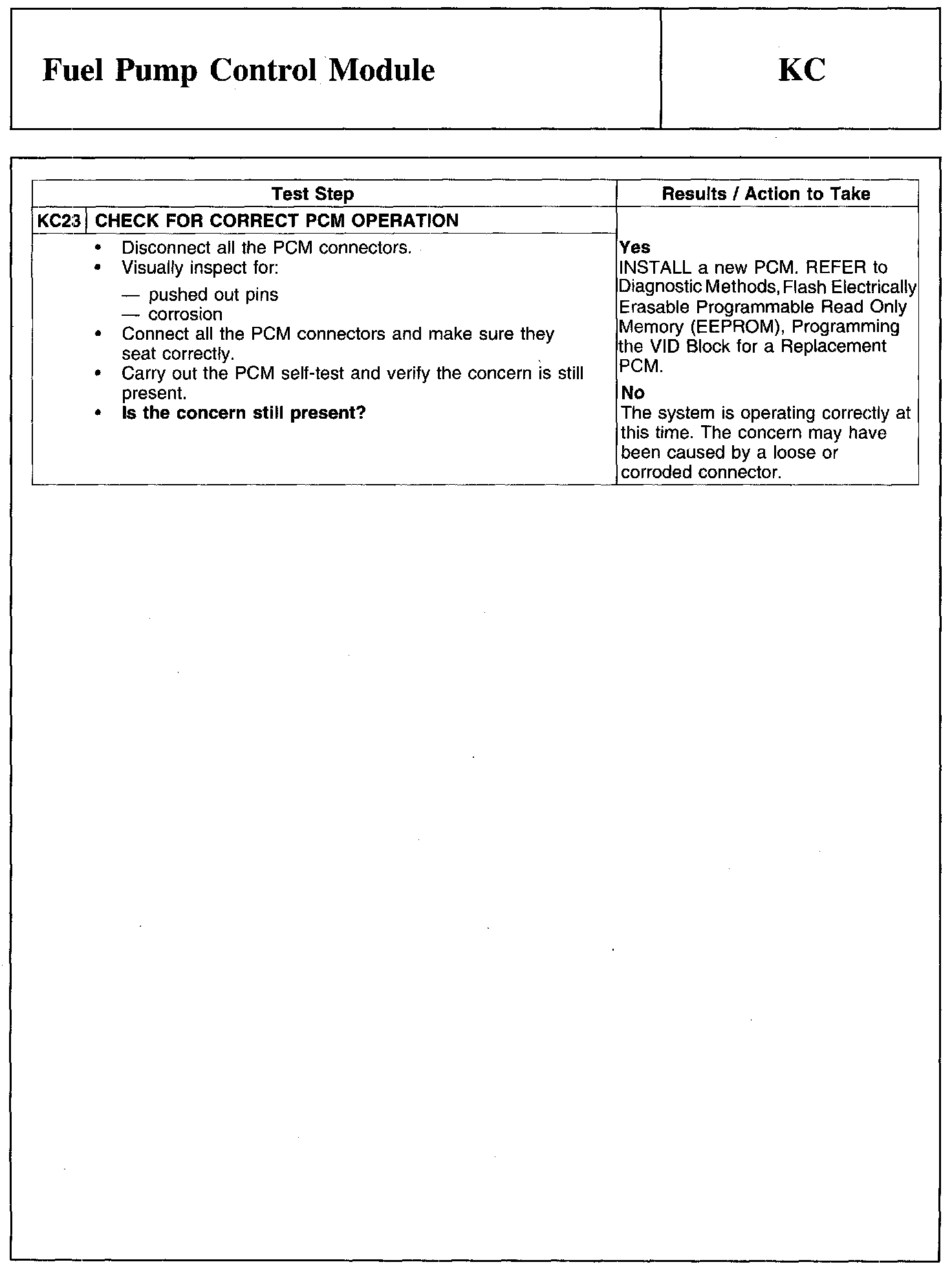
KC23: