LEMON Manuals: Even more car manuals for everyone: 1960-2025
Home >> Ford >> 2010 >> Fusion FWD L4-2.5L Hybrid >> Repair and Diagnosis >> Powertrain Management >> Computers and Control Systems >> Testing and Inspection >> Pinpoint Tests >> Test TU: Calculated Torque Error
April 5, 2026: LEMON Manuals is launched! Read the announcement.

Test TU: Calculated Torque Error

PINPOINT TEST TU: CALCULATED TORQUE ERROR


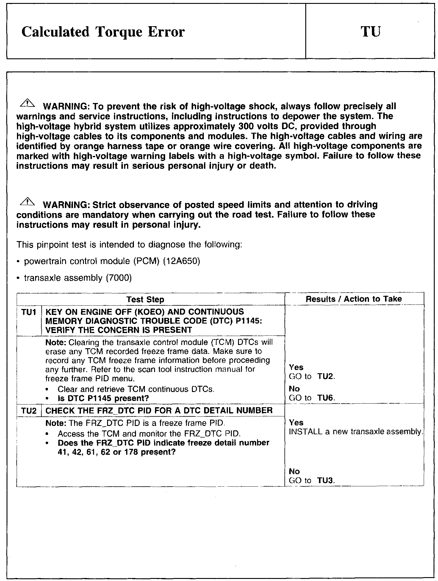
TU1-TU2:






TU3-TU6:






TU7-TU10:






TU11: