Powertrain Calibration Information
Powertrain calibration information is printed in the lower right corner of the VC label. Only the base calibration information is printed. Revision levels will not appear, however, they can be obtained through a scan tool using the most current software revision.
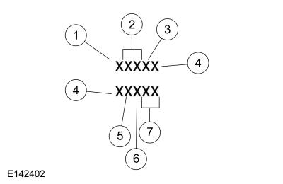
| Item | Description |
|---|---|
| 1 | Model year (year in which the calibration strategy was first introduced). |
| 2 | Vehicle line |
| 3 | Transmission code |
| 4 | Unique calibrations (designates different hardware to similar vehicles), example: tires or drive ratios |
| 5 | Fleet code (describes fleet to which the vehicle belongs), example: 6 - EVAP |
| 6 | Certification region (lead region where multiple regions are included in one calibration), example: A - US federal |
| 7 | Revision level (will advance as revisions occur), not printed on label but may be obtained through scan tool |
Model Year
- D - 2013
- E - 2014
- F - 2015
- G - 2016
- H - 2017
Vehicle Code
- FC - F-150
Transmission Code
- 2 - Automatic transmission
Unique Calibration
The Emission/Corporate Average Fuel Economy/CO2 Compliance Department is responsible for assigning these calibration numbers. Unique identifications are assigned to cover similar vehicles to differentiate between tires, drive configurations, final drive ratios and other calibration-significant factors. These 2 characters are chosen by the analyst to provide identifiable information unique to each calibration. For example, using the number 2 to denote a 2- valve engine versus using the number 4 to denote a 4-valve engine provides an easily identifiable difference.
Fleet Coding
- 0 - Certification (U.S. 4K, final sale in export markets)
- 1 - Heavy duty gas engine/Dyno
- 2 - Fast Automobile Manufacturers' Association, U.S.
- 3 - Alternative durability protocol, U.S.
- 4 - Not assigned
- 5 - Not assigned
- 6 - EVAP
- 7 - Mileage accumulation aging endurance durability
- 8 - OBD
- 9 - Not assigned
Certification Region
- 5 - U.S. 50 states
- A - U.S. federal, including altitude, may include Canada and/or Mexico
- B - U.S. California standard, includes U.S. green states
- C - Canada
- D - China
- E - European Community - Austria, Belgium, Denmark, Finland, France, Germany, Greece, Ireland, Italy, Luxembourg, Netherlands, Portugal, Spain, Sweden and UK (United Kingdom)
- F - ECC (European Extended Community) - E-plus Croatia, Czech Republic, Estonia, Hungary, Norway, Poland, Romania, Russian Federation, Slovakia, Slovenia, Switzerland and Yugoslavia
- G - GCC (Gulf Cooperative Council) - Bahrain, Kuwait, Oman, Qatar, Saudi Arabia and UAE (United Arab Emirates)
- H - Hong Kong
- J - Japan
- K - Korea
- L - Malaysia
- M - Mexico
- N - New Zealand
- P - Australia
- Q - South America (Brazil)
- S - Singapore
- T - Taiwan
- U - South America (unleaded fuel regions)
- V - Vietnam
- X - Rest Of World (ROW)
- Y - Military
- Z - Israel
Revision Level (not printed on label)
- 91-99 - Hardware and certification levels
- 01-04 - Preliminary levels
- 00 - Job 1 production (initial certification)
- 05-09 - Pre-job 1 revisions to calibrations
- 10-89 - Post-job 1 revisions to calibrations
- 0B - Durability test level
- BD - OBD intermediate level (pre-05)