LEMON Manuals: Even more car manuals for everyone: 1960-2025
Home >> Ford >> 2017 >> Transit Connect Titanium >> Repair and Diagnosis >> Quick Lookups >> Wiring Diagrams >> OEM Wiring Diagrams Component Testing >> Component Testing >> Driver Door Window Control Switch - Without Door Modules 4-Way
April 5, 2026: LEMON Manuals is launched! Read the announcement.

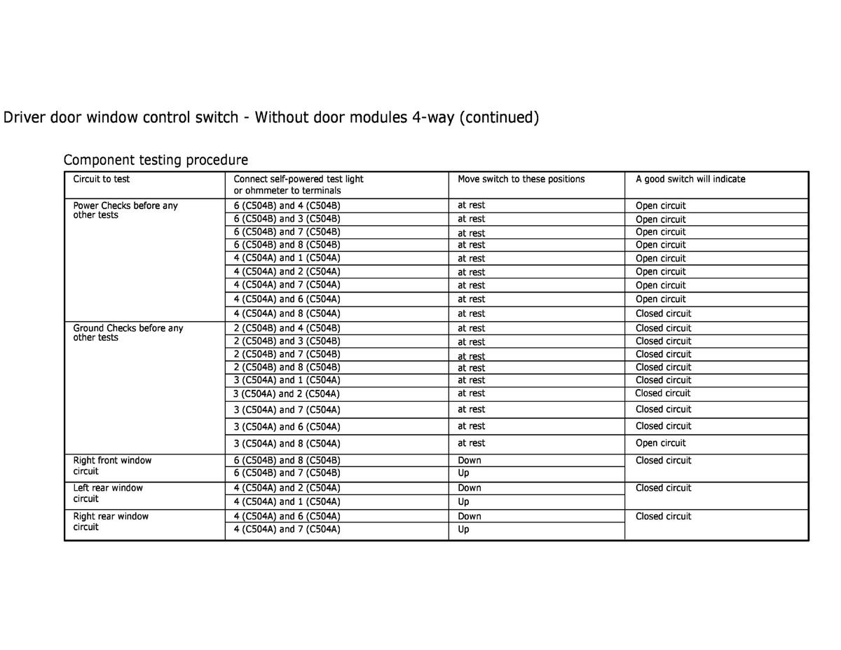
Driver Door Window Control Switch - Without Door Modules 4-Way

Fig 1: Driver Door Window Control Switch - Without Door Modules 4-Way (1 of 2)
GFDW85938Courtesy of FORD MOTOR COMPANY
Fig 2: Driver Door Window Control Switch - Without Door Modules 4-Way (2 of 2)
GFDW85939Courtesy of FORD MOTOR COMPANY