LEMON Manuals: Even more car manuals for everyone: 1960-2025
Home >> Ford >> 2018 >> Focus ST >> Repair and Diagnosis >> External Pages >> Different car >> Section 284 (Lane Keeping System) >> Description And Operation >> Lane Keeping System - System Operation and Component Description >> System Operation >> Lane Keeping Alert and Lane Keeping Aid System Diagram
April 5, 2026: LEMON Manuals is launched! Read the announcement.

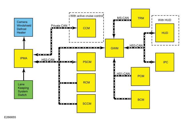
Lane Keeping Alert and Lane Keeping Aid System Diagram

WARNING: This page is about a different car, the 2018 Lincoln Navigator. However, it is still accessible from the selected car via links, so may be relevant.
GFD274719Courtesy of FORD MOTOR COMPANY
Item Description
1 Lane keeping system switch
2 IPMA
3 GWM
4 Camera windshield defrost heater
5 RCM
6 SCCM
7 IPC
8 BCM
9 PSCM
10 CCM
11 With active cruise control
12 HUD
13 With HUD
14 TRM
15 PCM