LEMON Manuals: Even more car manuals for everyone: 1960-2025
Home >> Ford >> 2018 >> Taurus SHO >> Repair and Diagnosis >> External Pages >> Different car >> Section 41 (Identification Codes) >> Description And Operation >> Identification Codes >> Powertrain Calibration Information >> Notes
April 5, 2026: LEMON Manuals is launched! Read the announcement.

Powertrain Calibration Information: Notes

WARNING: This page is about a different car, the 2018 Ford EcoSport. However, it is still accessible from the selected car via links, so may be relevant.
GFD324098Courtesy of FORD MOTOR COMPANY
NOTE: Powertrain calibration information is limited to a maximum of 5 characters per line on the VC label. Because of this, calibration identification consisting of more than 5 characters will wrap to the second line on the VC label.
GFD324099Courtesy of FORD MOTOR COMPANY

Powertrain calibration information is printed in the lower right corner of the VC label. Only the base calibration information is printed. Revision levels will not appear, however, they can be obtained through a scan tool using the most current software revision.

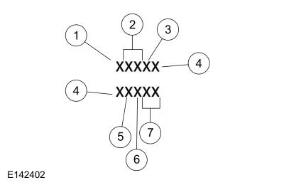
Item Description
1 Model year (year in which the calibration strategy was first introduced).
2 Vehicle code
3 Transmission code
4 Unique calibrations (designates different hardware to similar vehicles), example: tires or drive ratios
5 Fleet code (describes fleet to which the vehicle belongs), example: 6 - EVAP
6 Certification region (lead region where multiple regions are included in one calibration), example: A - U.S. federal
7 Revision level (will advance as revisions occur), obtained through scan tool