LEMON Manuals: Even more car manuals for everyone: 1960-2025
Home >> Ford >> 2020 >> Explorer ST >> Repair and Diagnosis >> External Pages >> Different car >> Section 326 (Identification Codes) >> Description And Operation >> Identification Codes >> Powertrain Calibration Information >> Notes
April 5, 2026: LEMON Manuals is launched! Read the announcement.

Powertrain Calibration Information: Notes

WARNING: This page is about a different car, the 2019 Ford Police Interceptor Utility and 2019 Ford Explorer. However, it is still accessible from the selected car via links, so may be relevant.
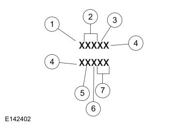
GFD412620Courtesy of FORD MOTOR COMPANY
NOTE: Powertrain calibration information is limited to a maximum of 5 characters per line on the VC label. Because of this, calibration identification consisting of more than 5 characters will wrap to the second line on the VC label.
GFD412621Courtesy of FORD MOTOR COMPANY

Powertrain calibration information is printed in the lower right corner of the VC label. Only the base calibration information is printed. Revision levels will not appear, however, they can be obtained through a scan tool using the most current software revision.

Item Description
1 Model year (year in which the calibration strategy was first introduced).
2 Vehicle line
3 Transmission code
4 Unique calibrations (designates different hardware to similar vehicles), example: tires or drive ratios
5 Fleet code (describes fleet to which the vehicle belongs), example: 6 - EVAP
6 Certification region (lead region where multiple regions are included in one calibration), example: A - US federal
7 Revision level (will advance as revisions occur), not printed on label but may be obtained through scan tool