VC Codes
VC Codes
VC Label Locator
The VC label contains the manufacturer name, the month and year of manufacture, the certification statement and the VIN. It also includes GVW and tire information. If a vehicle requires replacement of the VC label and is 4 years old or less, an authorized dealer must submit the VIN to their respective regional office. The regional office will submit a web form to the assembly plant for the replacement label. Once the label has been printed, a representative from the regional office will deliver the label to the dealer and witness installation on the vehicle. If a vehicle is more than 4 years old and requires a replacement label, the dealer must submit a request to the Department of Motor Vehicles.
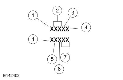
| Item | Description |
|---|---|
| 1 | Exterior paint code |
| 2 | Region code |
| 3 | Domestic special order code |
| 4 | Interior trim code |
| 5 | Tape/paint stripe code |
| 6 | Radio code |
| 7 | Axle code |
| 8 | Transmission code |
| 9 | Spring code |
| 10 | Powertrain calibration information |
Paint Code
Paint codes are listed as a 2-part code. The first set of paint code numbers/letters indicate the vehicle primary body color. The second set of letters/numbers (if applicable) indicate a 2-tone or accent body color. All paint codes are a base coat/clear coat finish.
- CA - Twister Orange(tri-coat)
- CB - Grabber Yellow
- D4 - Rapid Red Metallic (tinted clear coat)
- E7 - Velocity Blue
- FM - Ford Performance Blue
- G1 - Shadow Black
- HX - Antimatter Blue
- JS - Iconic Silver
- M7 - Carbonized Gray
- NE - Jet Fighter Gray
- PQ - Race Red
- YZ - Oxford White
Interior Trim Codes
Interior trim codes are listed as a 2-part code. The first digit listed indicates the seat and fabric style. The second digit listed indicates the interior trim color.
Trim Codes
- 2 - Cloth seats
- 3 - Recaro cloth
- 4 - Leather I trimmed
- 5 - Leather II trimmed
- B - SVT Leather-trimmed
- E - Active-X Leather-trimmed
- F - Recaro Leather-trimmed
- J - Leather-trimmed w/Alcantara
- K - Cloth w/leather-trim
- L - Leather-trimmed w/Miko Suede and Red Stitch
- S - Recaro Leather-trimmed
- W - Cloth seats
Interior Trim Color Codes
- 1 - Ebony
- 2 - Ceramic
- 7 - Ebony with orange
- C - Tan
- V - Ebony with dove
- W- Showstopper Red
- X - Midnight Blue with Grabber Blue
Tape/Paint Stripe Codes
Hood tape/paint stripe codes are:
- 1 - Kona Blue (Vinyl OTT)
- 2 - Ebony (Vinyl OTT)
- 3 - Black with White
- 4 - Black with Orange
- 5 - Metallic Grey (Hood Stripe)
- 6 - Black with Red
- 8 - Absolute Black (Painted OTT)
- A - Silver Stripe (Hood Stripe)
- C - Oxford White (Painted OTT)
- Q - Bright White (Vinyl OTT)
- R - Ebony Stripe (Hood Stripe)
- U - Kona Blue (Painted OTT)
- W - White Stripe (OTT)
- X - Ebony (OTT)
Side tape/paint stripe codes are:
- D - Ebony (Vinyl Side Stripe)
- E - Bright White (Vinyl Side Stripe)
- F - Kona Blue (Vinyl Side Stripe)
- G - Silver Stripe (Side Stripe)
- H - Ebony Stripe (Side Stripe)
- J - White Stripe (Side Stripe)
- M - Black with White
- N - Black with Red Stripe
- P - Black with Orange Stripe
Radio Codes
The following lists available radio codes:
- 3 - AM/ FM single tuner, CD player, SDARS (Satellite Digital Audio Receiver System) and HD (high-definition)
- 4 - CD player with dual digital tuner, Diversity and DAB Antenna
- A -AM/ FM single tuner with Antenna
- E - SiriusXM Radio
- U - Low AM/ FM single tuner with Antenna
Axle Codes
The axle codes and related gear ratios are:
- 3 - 3.31 ratio
- 5 - 3.55 ratio
- 7 - 3.73 ratio
- T - 3.55 ratio with TORSEN Axle
- Y - 3.15 ratio
Transmission Codes
Available transmissions are as follows:
- E - TREMEC 6-Speed Manual
- G - TREMEC 7-Speed dual clutch
- U - 10-Speed Automatic
- X - 6-Speed Manual
Spring Codes
Spring codes are listed as a 2-part code. The first set of characters identify the front springs. The second set of characters identify the rear springs.
Front Spring Codes
- Base part number - 5310
Rear Spring Codes
- Base part number - 5560/5B859
Powertrain Calibration Information
| Item | Description |
|---|---|
| 1 | Model year (year in which the calibration strategy was first introduced) |
| 2 | Vehicle code |
| 3 | Transmission code |
| 4 | Unique calibrations (designates different hardware to similar vehicles), example: tires or drive ratios |
| 5 | Fleet code (describes fleet to which the vehicle belongs), example: 6 - EVAP |
| 6 | Certification region (lead region where multiple regions are included in one calibration), example: A - U.S. federal |
| 7 | Revision level (will advance as revisions occur), obtained through scan tool |
Model Year
- F - 2015
- G - 2016
- H - 2017
- J - 2018
- K - 2019
- L - 2020
- M - 2021
Vehicle Code
- ZG - Mustang
Transmission Code
- 1 - Manual transmission
- 2 - Automatic transmission
Unique Calibration
The Emission/Corporate Average Fuel Economy/CO2 Compliance Department is responsible for assigning these calibration numbers. Unique identifications are assigned to cover similar vehicles to differentiate between tires, drive configurations, final drive ratios and other calibration-significant factors. These 2 characters are chosen by the analyst to provide identifiable information unique to each calibration. For example, using the number 2 to denote a 2- valve engine versus using the number 4 to denote a 4-valve engine provides an easily identifiable difference.
Fleet Coding
- 0 - Certification (U.S. 4K, final sale in export markets)
- 1 - Heavy duty gas engine/Dyno
- 2 - Fast Automobile Manufacturers' Association, U.S.
- 3 - Alternative durability protocol, U.S.
- 4 - Not assigned
- 5 - Not assigned
- 6 - EVAP
- 7 - Mileage accumulation aging endurance durability
- 8 - OBD
- 9 - Not assigned
Certification Region
- 5 - U.S. 50 states
- A - U.S. federal, including altitude, may include Canada and/or Mexico
- B - U.S. California standard, includes U.S. green states
- C - Canada
- D - China
- E - European Community - Austria, Belgium, Denmark, Finland, France, Germany, Greece, Ireland, Italy, Luxembourg, Netherlands, Portugal, Spain, Sweden and UK (United Kingdom)
- F - EEC (European Extended Community) - E-plus Croatia, Czech Republic, Estonia, Hungary, Norway, Poland, Romania, Russian Federation, Slovakia, Slovenia, Switzerland and Yugoslavia
- G - GCC (Gulf Cooperative Council) - Bahrain, Kuwait, Oman, Qatar, Saudi Arabia and UAE (United Arab Emirates)
- H - Hong Kong
- J - Japan
- K - Korea
- L - Malaysia
- M - Mexico
- N - New Zealand
- P - Australia
- Q - South America - Brazil
- S - Singapore
- T - Taiwan
- U - South America - unleaded fuel regions
- V - Vietnam
- X - ROW (Rest Of World)
- Y - Military
- Z - Israel
Revision Level (not printed on label)
- 91-99 - Hardware and certification levels
- 01-04 - Preliminary levels
- 00 - Job 1 production (initial certification)
- 05-09 - Pre-job 1 revisions to calibrations
- 10-89 - Post-job 1 revisions to calibrations
- 0B - Durability test level
- BD - OBD intermediate level (pre-05)