VC Codes
VC Label Locator
The VC label contains the manufacturer name, the month and year of manufacture, the certification statement and the VIN. It also includes GVW and tire information. If a vehicle requires replacement of the VC label and is 4 years old or less, an authorized dealer must submit the VIN to their respective regional office. The regional office will submit a web form to the assembly plant for the replacement label. Once the label has been printed, a representative from the regional office will deliver the label to the dealer and witness installation on the vehicle. If a vehicle is more than 4 years old and requires a replacement label, the dealer must submit a request to the Department of Motor Vehicles.
| Item | Description |
|---|---|
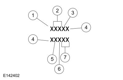
| 1 | Exterior paint code |
| 2 | Region code |
| 3 | Domestic special order code |
| 4 | Interior trim code |
| 5 | Tape/paint stripe code |
| 6 | Radio code |
| 7 | Axle code |
| 8 | Transmission code |
| 9 | Spring code |
| 10 | Powertrain calibration information |
Paint Code
Paint codes are listed as a 2-part code. The first set of paint code numbers/letters indicate the vehicle primary body color. The second set of letters/numbers (if applicable) indicate a 2-tone or accent body color. All paint codes are a base coat/clear coat finish.
- A3 - Space White Metallic
- AE - Grabber Blue Metallic
- AZ - Star White Metallic Tri-coat
- D4 - Rapid Red Metallic Tinted Clearcoat
- FA - Eruption Green
- G1 - Shadow Black
- K1 - Vapor Blue Metallic
- M7 - Carbonized Gray Metallic
- SB - Cyber Orange Metallic Tri-coat
Interior Trim Codes
Interior trim codes are listed as a 2-part code. The first digit listed indicates the seat and fabric style. The second digit listed indicates the interior trim color.
Trim Codes
- 3 - ActiveX™
- A - ActiveX™
- L - Perforated Vinyl
- M - Perforated ActiveX™
- S - ActiveX™
Interior Trim Color Codes
- 1 - Black Onyx w/copper stitching
- 5 - Performance Gray w/metallic stitching
- 8 - Black Onyx interior w/red stitching
- J - Black Onyx
- Y - Light Space Gray
Radio Codes
The following lists available radio codes:
- E - B and 0 Play®, AM / FM stereo with SDARS (Satellite Digital Audio Receiver System), 10 - Speakers
- F - Base AM / FM stereo, 6 - Speakers
- G - B and 0 Play®, AM / FM stereo, 10 - Speakers
- H - Base AM / FM stereo with SDARS (Satellite Digital Audio Receiver System), 6 - Speakers
Axle Codes
The axle codes and related gear ratios are:
- ZZ - Electric Drive Unit
Transmission Codes
Available transmissions are as follows:
- A - 1- Speed Automatic
Spring Codes
Spring codes are listed as a 2-part code. The first set of characters identify the front springs. The second set of characters identify the rear springs.
Front Spring Codes
- Base part number - 5310
Rear Spring Codes
- Base part number - 5560
Powertrain Calibration Information
| Item | Description |
|---|---|
| 1 | Model year (year in which the calibration strategy was first introduced) |
| 2 | Vehicle code |
| 3 | Transmission code |
| 4 | Unique calibrations (designates different hardware to similar vehicles), example: tires or drive ratios |
| 5 | Fleet code (describes fleet to which the vehicle belongs), example: 6 - EVAP |
| 6 | Certification region (lead region where multiple regions are included in one calibration), example: A - U.S. federal |
| 7 | Revision level (will advance as revisions occur), obtained through scan tool |
Model Year
- N - 2022
- P - 2023
Vehicle Code
- GW - Mach-E
Transmission Code
- A - Automatic transmission
Unique Calibration
The Emission/Corporate Average Fuel Economy/CO2 Compliance Department is responsible for assigning these calibration numbers. Unique identifications are assigned to cover similar vehicles to differentiate between tires, drive configurations, final drive ratios and other calibration-significant factors. These 2 characters are chosen by the analyst to provide identifiable information unique to each calibration. For example, using the number 2 to denote a 2- valve engine versus using the number 4 to denote a 4-valve engine provides an easily identifiable difference.
Fleet Coding
- 0 - Certification (U.S. 4K, final sale in export markets)
- 1 - Heavy duty gas engine/Dyno
- 2 - Fast Automobile Manufacturers' Association, U.S.
- 3 - Alternative durability protocol, U.S.
- 4 - Not assigned
- 5 - Not assigned
- 6 - EVAP
- 7 - Mileage accumulation aging endurance durability
- 8 - OBD
- 9 - Not assigned
Certification Region
- 5 - U.S. 50 states
- A - U.S. federal, including altitude, may include Canada and/or Mexico
- B - U.S. California standard, includes U.S. green states
- C - Canada
- D - China
- E - European Community - Austria, Belgium, Denmark, Finland, France, Germany, Greece, Ireland, Italy, Luxembourg, Netherlands, Portugal, Spain, Sweden and UK (United Kingdom)
- F - EEC (European Extended Community) - E-plus Croatia, Czech Republic, Estonia, Hungary, Norway, Poland, Romania, Russian Federation, Slovakia, Slovenia, Switzerland and Yugoslavia
- G - GCC (Gulf Cooperative Council) - Bahrain, Kuwait, Oman, Qatar, Saudi Arabia and UAE (United Arab Emirates)
- H - Hong Kong
- J - Japan
- K - Korea
- L - Malaysia
- M - Mexico
- N - New Zealand
- P - Australia
- Q - South America - Brazil
- S - Singapore
- T - Taiwan
- U - South America - unleaded fuel regions
- V - Vietnam
- X - ROW (Rest Of World)
- Y - Military
- Z - Israel
Revision Level (not printed on label)
- 91-99 - Hardware and certification levels
- 01-04 - Preliminary levels
- 00 - Job 1 production (initial certification)
- 05-09 - Pre-job 1 revisions to calibrations
- 10-89 - Post-job 1 revisions to calibrations
- 0B - Durability test level
- BD - OBD intermediate level (pre-05)