LEMON Manuals: Even more car manuals for everyone: 1960-2025
Home >> Honda >> 1992 >> Prelude S, Standard >> Repair and Diagnosis >> Engine Performance >> System >> Engine Controls - Tests W/Codes >> Trouble Code Charts >> Code 20 - Electrical Load Detector (Eld) Circuit
April 5, 2026: LEMON Manuals is launched! Read the announcement.

Code 20 - Electrical Load Detector (Eld) Circuit

Fig 1: Code 20 Chart (1 Of 2) - Electrical Load Detector (ELD) CKT.
G92J26707
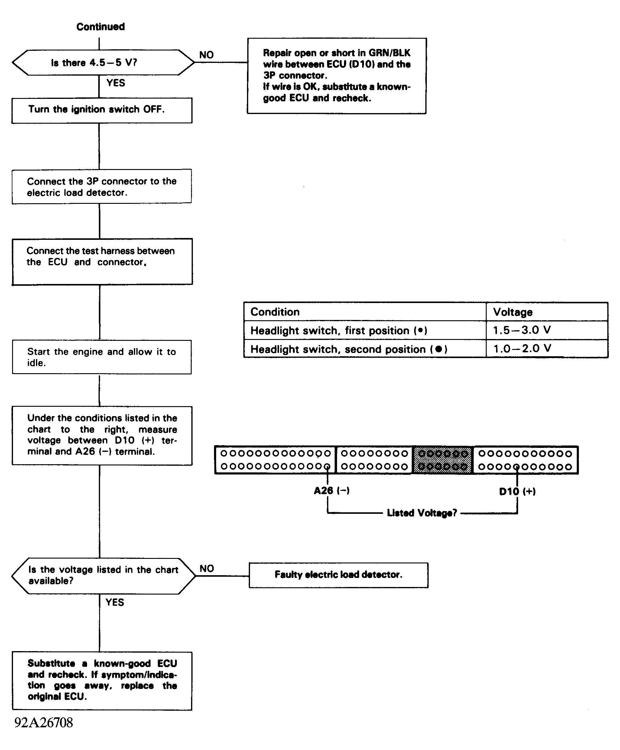
Fig 2: Code 20 Chart (2 Of 2) - Electrical Load Detector (ELD) CKT.
G92A26708