LEMON Manuals: Even more car manuals for everyone: 1960-2025
Home >> Honda >> 1992 >> Prelude S, Standard >> Repair and Diagnosis >> Engine Performance >> System >> Engine Controls - Tests W/Codes >> Trouble Code Charts >> Code 7 - Throttle Angle Sensor Circuit
April 5, 2026: LEMON Manuals is launched! Read the announcement.

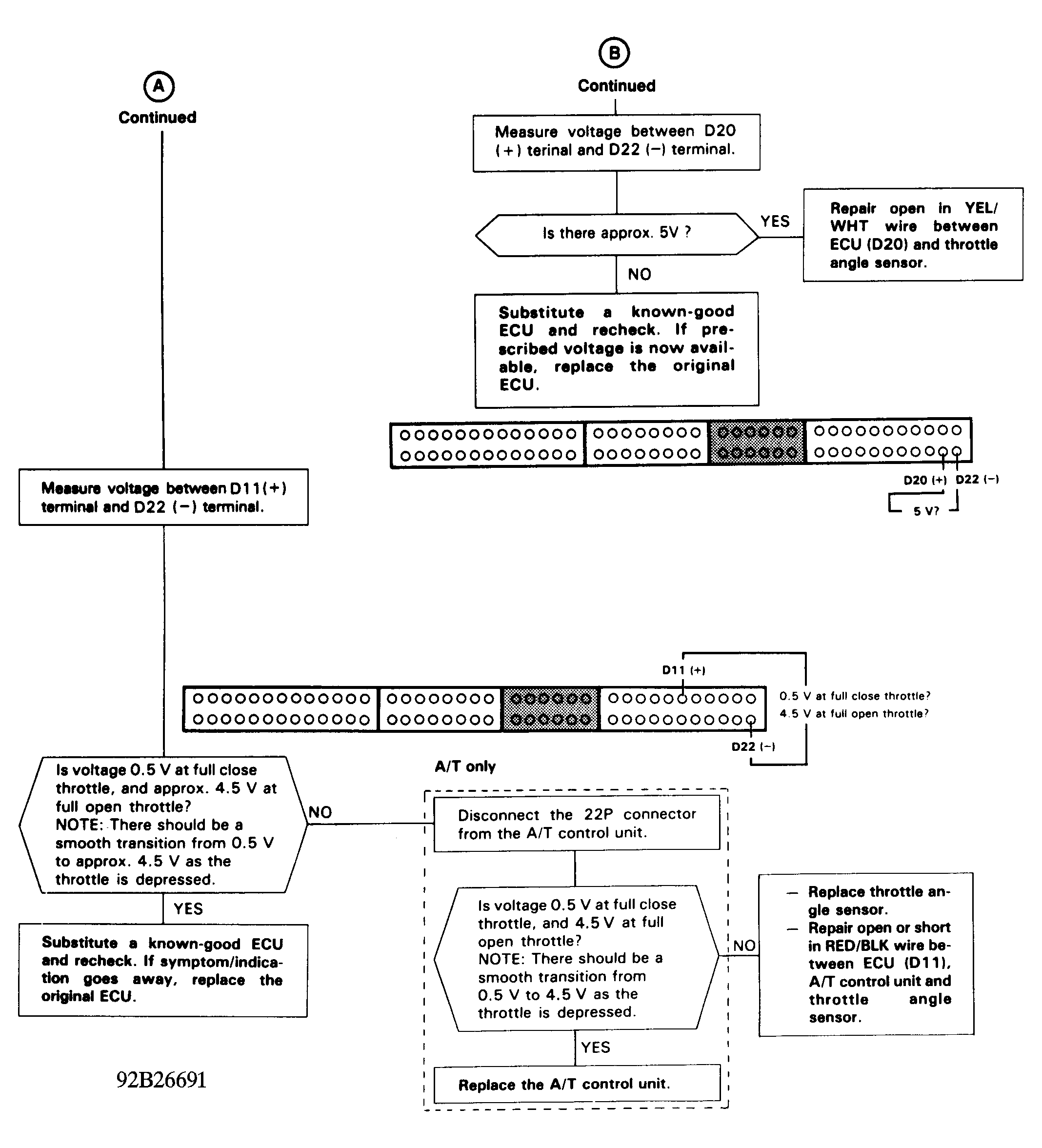
Code 7 - Throttle Angle Sensor Circuit

Fig 1: Code 7 Chart (1 Of 2) - Throttle Angle Sensor CKT.
G92A26690
Fig 2: Code 7 Chart (2 Of 2) - Throttle Angle Sensor CKT.
G92B26691