LEMON Manuals: Even more car manuals for everyone: 1960-2025
Home >> Honda >> 1992 >> Prelude Si, Standard >> Repair and Diagnosis >> Engine Performance >> System >> Engine Controls - Tests W/Codes >> Trouble Code Charts >> Code/No Code - Check Engine Light Stays On
April 5, 2026: LEMON Manuals is launched! Read the announcement.

Code/No Code - Check Engine Light Stays On

Fig 1: Code/No Code Chart (1 Of 3) - Check Engine Light Stays On
G92E26678
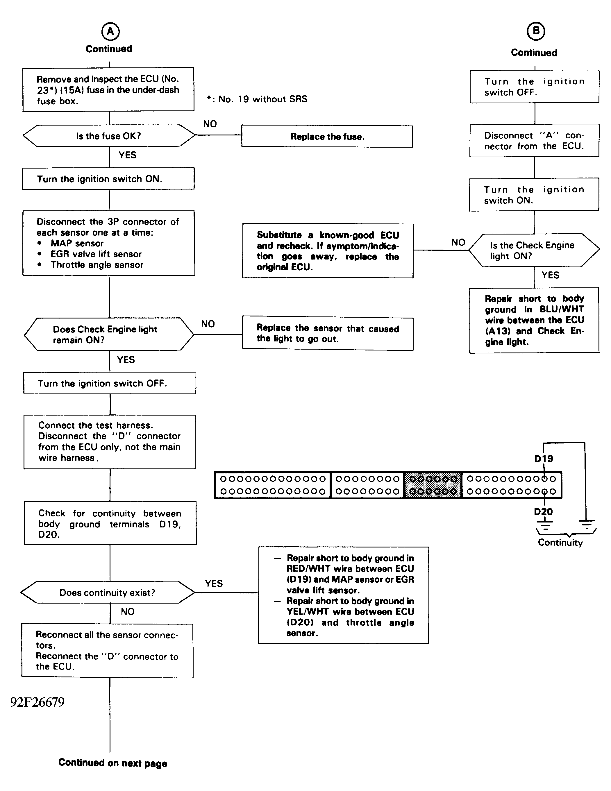
Fig 2: Code/No Code Chart (2 Of 3) - Check Engine Light Stays On
G92F26679
Fig 3: Code/No Code Chart (3 Of 3) - Check Engine Light Stays On
G92I26680