LEMON Manuals: Even more car manuals for everyone: 1960-2025
Home >> Honda >> 1993 >> Civic Si >> Repair and Diagnosis >> Engine Performance >> System >> Engine Controls - Tests W/Codes >> Diagnostic Trouble Code Charts >> Code 12 - EGR System
April 5, 2026: LEMON Manuals is launched! Read the announcement.

Code 12 - EGR System

Fig 1: Code 12 Flowchart, EGR System (1 of 5)
G93D79148Courtesy of AMERICAN HONDA MOTOR CO., INC.
Fig 2: Code 12 Flowchart, EGR System (2 of 5)
G93E79149Courtesy of AMERICAN HONDA MOTOR CO., INC.
Fig 3: Code 12 Flowchart, EGR System (3 of 5)
G93I79150Courtesy of AMERICAN HONDA MOTOR CO., INC.
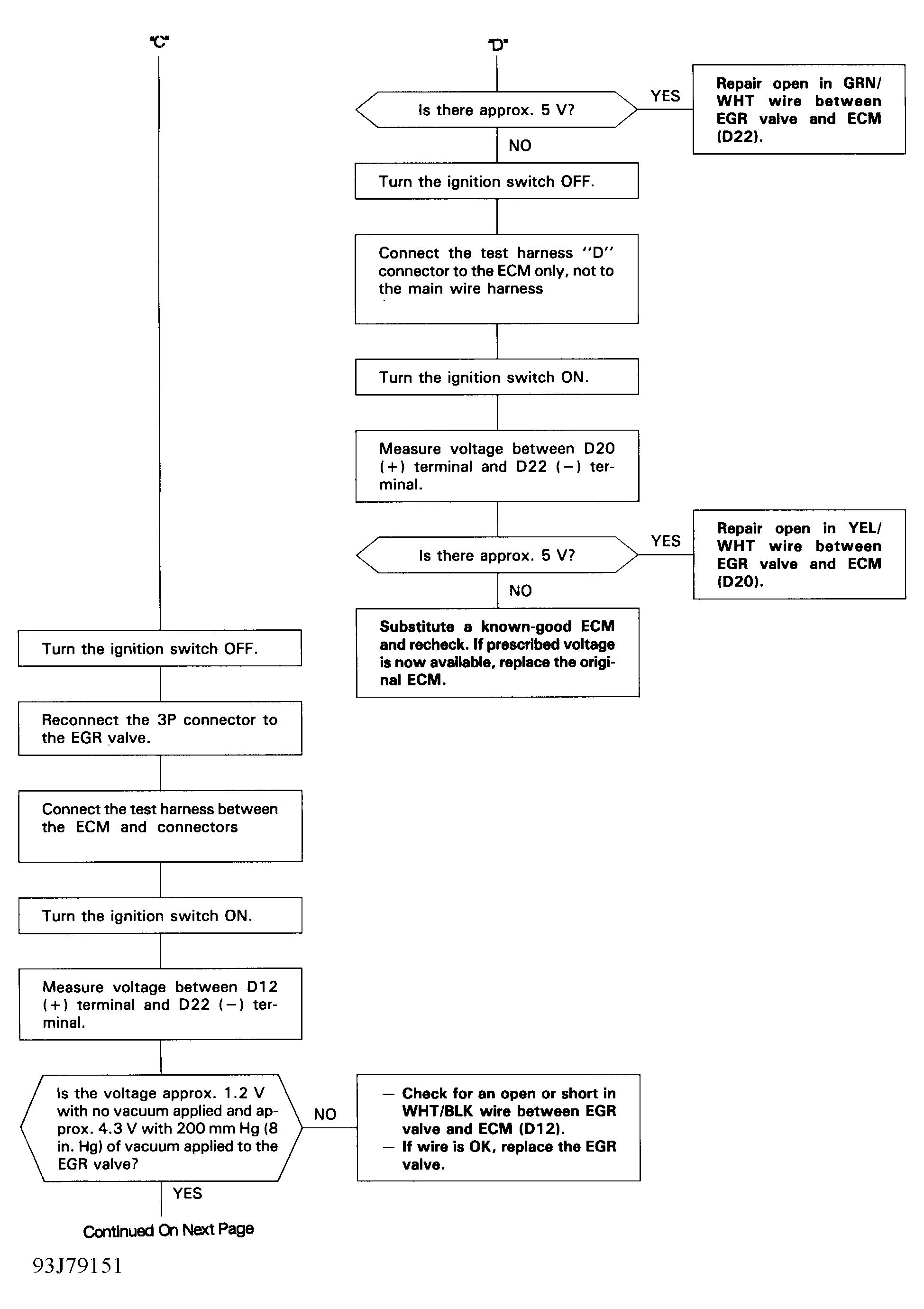
Fig 4: Code 12 Flowchart, EGR System (4 of 5)
G93J79151Courtesy of AMERICAN HONDA MOTOR CO., INC.
Fig 5: Code 12 Flowchart, EGR System (5 of 5)
G93A79152Courtesy of AMERICAN HONDA MOTOR CO., INC.