LEMON Manuals: Even more car manuals for everyone: 1960-2025
Home >> Honda >> 1994 >> Civic del Sol VTEC >> Repair and Diagnosis >> Engine Performance >> System >> Engine Controls - Tests W/Codes >> Diagnostic Trouble Code Charts >> Code 4, 8 And/Or 9 TDC/CKP/CYP Sensor
April 5, 2026: LEMON Manuals is launched! Read the announcement.

Code 4, 8 And/Or 9 TDC/CKP/CYP Sensor

Fig 1: Code 4, 8 AND/OR 9 Flow Chart (1 of 2) TDC/CKP/CYP Sensor
G93A78683
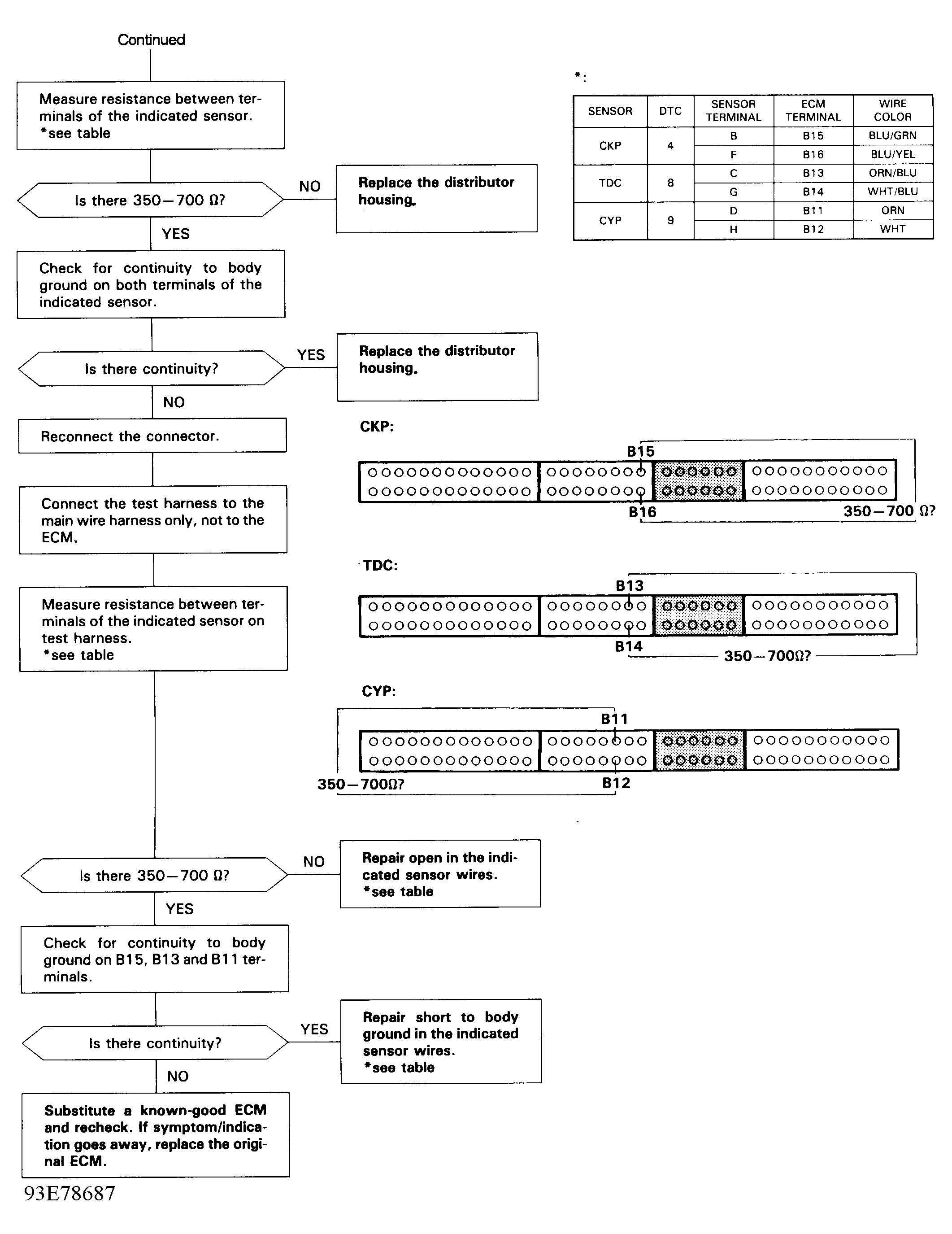
Fig 2: Code 4, 8 AND/OR 9 Flow Chart (2 of 2) TDC/CKP/CYP Sensor
G93E78687