LEMON Manuals: Even more car manuals for everyone: 1960-2025
Home >> Honda >> 1994 >> Passport DX >> Repair and Diagnosis >> Engine Performance >> System >> Engine Controls - Basic Testing - 3.2L >> Idle Speed & Ignition Timing >> Chart C-4D-1 - Ignition System Check
April 5, 2026: LEMON Manuals is launched! Read the announcement.

Chart C-4D-1 - Ignition System Check

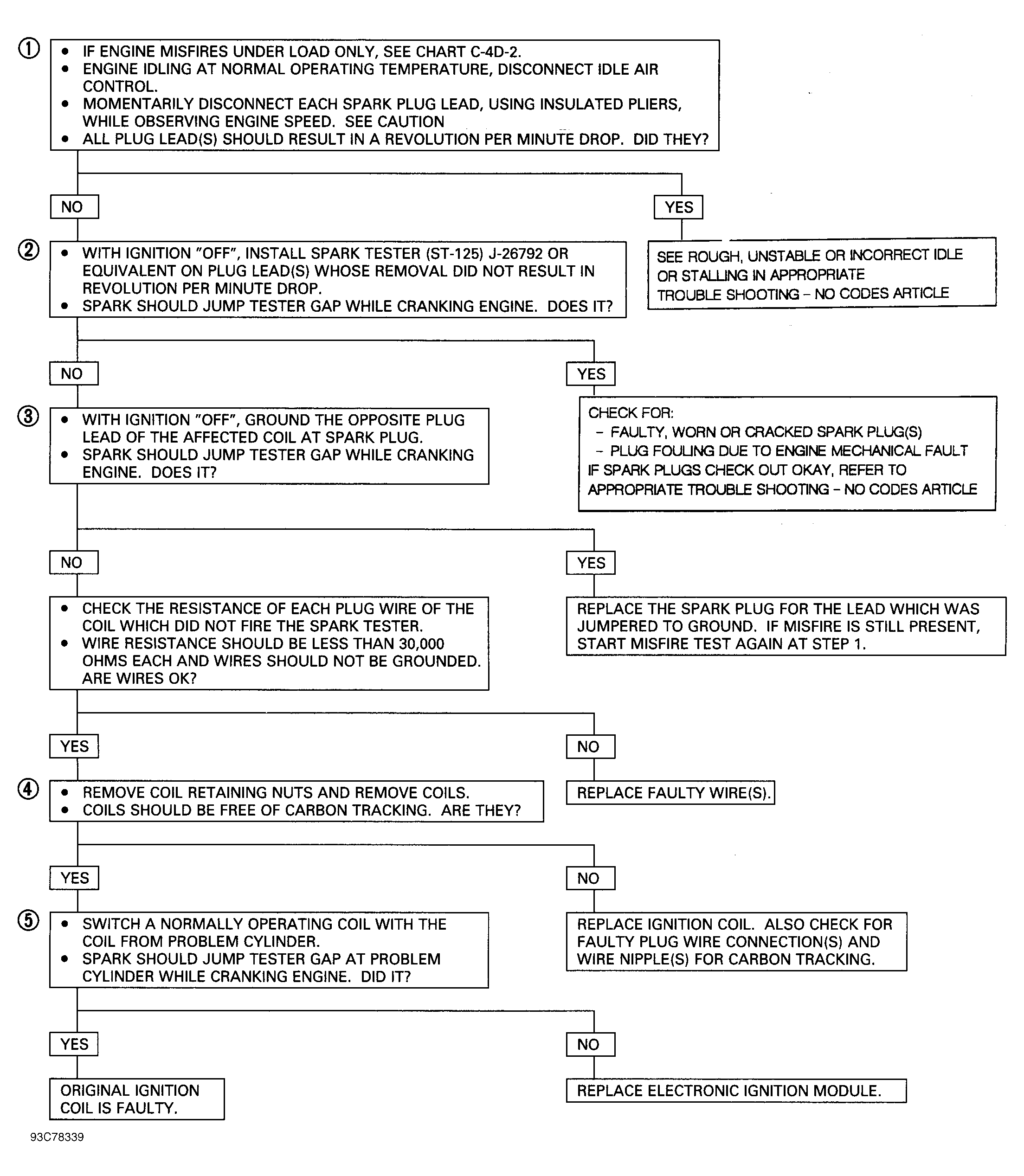
NOTE: Test numbers refer to numbers on diagnostic chart.
CAUTION: When handling secondary spark plug leads with engine running, use insulated pliers to prevent possible electrical shock.
  1. If engine misfire occurs under load only, see CHART C-4D-2  . Engine speed should drop equally on all plug leads.
  2. A spark tester must be used to verify adequate available secondary voltage at spark plug.
  3. If spark jumps test gap after grounding opposite plug wire, excessive resistance exists in plug that was by-passed. A faulty or poor connection at plug may also result in miss condition. Check for carbon deposits inside spark plug boot.
  4. If carbon tracking is evident, replace coil and ensure plug wires relating to that coil are clean and tight. Excessive wire resistance or faulty connections may have damaged coil.
  5. If no-spark condition follows suspected coil, that coil is faulty. Otherwise, ignition control module is cause of no spark. This test may also be performed by substituting a known-good coil for one causing no-spark condition.
    Fig 1: Chart C-4D-1 - Schematic
    G93B78338Courtesy of ISUZU MOTOR CO.
    Fig 2: Chart C-4D-1 - Diagnostic Flowchart
    G93C78339Courtesy of ISUZU MOTOR CO.