LEMON Manuals: Even more car manuals for everyone: 1960-2025
Home >> Honda >> 1994 >> Prelude 4WS, Automatic >> Repair and Diagnosis >> Engine Performance >> System >> Engine Controls - Tests W/Codes >> Diagnostic Trouble Code Charts >> Code 3 - Map Sensor Circuit
April 5, 2026: LEMON Manuals is launched! Read the announcement.

Code 3 - Map Sensor Circuit

Fig 1: Code 3 Flow Chart (1 Of 3) MAP Sensor Circuit
G93G79000
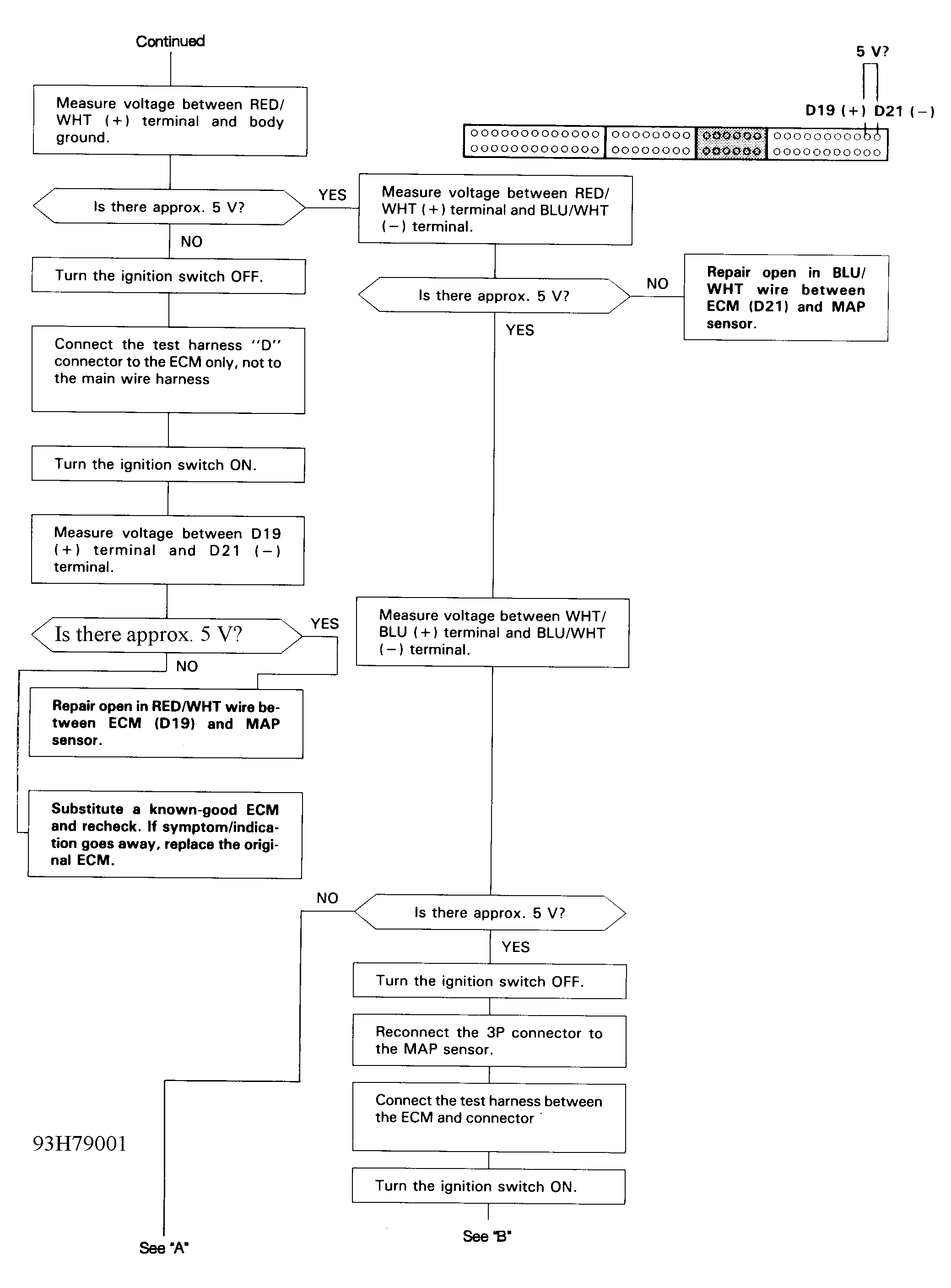
Fig 2: Code 3 Flow Chart (2 Of 3) MAP Sensor Circuit
G93H79001
Fig 3: Code 3 Flow Chart (3 Of 3) MAP Sensor Circuit
G93J79003