LEMON Manuals: Even more car manuals for everyone: 1960-2025
Home >> Honda >> 1995 >> Odyssey L4-2.2L SOHC >> Repair and Diagnosis >> Powertrain Management >> Transmission Control Systems >> Relays and Modules - Transmission and Drivetrain >> Relays and Modules - A/T >> Control Module >> Testing and Inspection
April 5, 2026: LEMON Manuals is launched! Read the announcement.

Control Module: Testing and Inspection




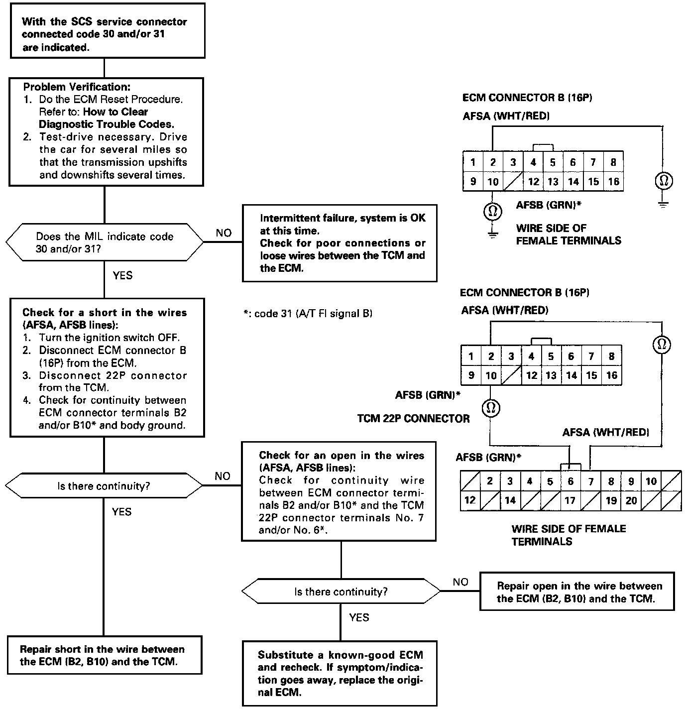
The Malfunction Indicator Lamp (MIL) indicates Diagnostic Trouble Code (DTC) 30 - A problem in the Automatic Transmission (A/T) Fuel Injection (FI) Signal A circuit between Transmission Control Module (TCM) and Engine Control Module (ECM).

The Malfunction Indicator Lamp (MIL) indicates Diagnostic Trouble Code (DTC) 31 - A problem in the A/T FI Signal B circuit between Transmission Control Module (TCM) and ECM.