LEMON Manuals: Even more car manuals for everyone: 1960-2025
Home >> Honda >> 1995 >> Passport DX >> Repair and Diagnosis >> Engine Performance >> System >> Engine Controls - Tests W/Codes - 2.6L >> Code Charts >> Code 33 - Fuel Injector Circuit (Open Or Grounded)
April 5, 2026: LEMON Manuals is launched! Read the announcement.

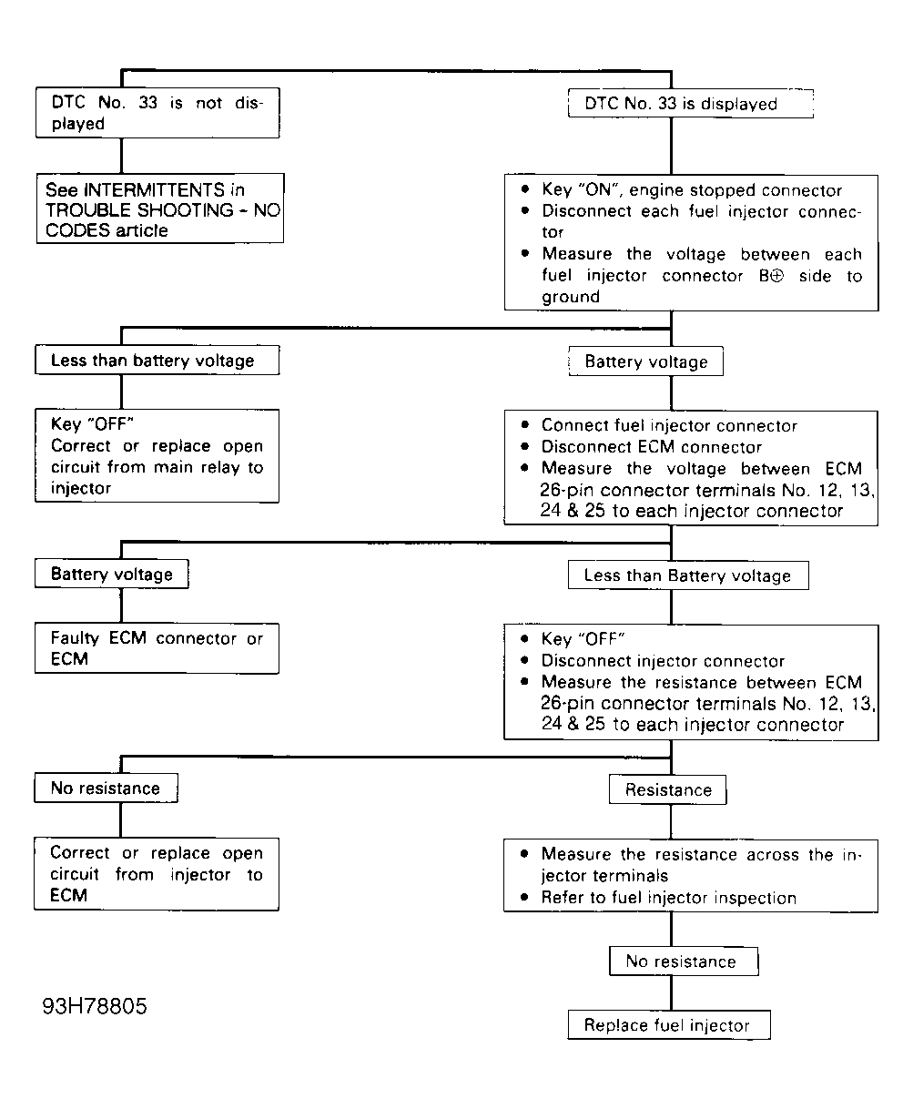
Code 33 - Fuel Injector Circuit (Open Or Grounded)

NOTE: See appropriate WIRING DIAGRAM in WIRING DIAGRAMS  section for terminal and connector identification.
Fig 1: Code 33 - Diagnostic Flowchart (2.6L Passport)
G93H78805Courtesy of ISUZU MOTOR CO.