LEMON Manuals: Even more car manuals for everyone: 1960-2025
Home >> Honda >> 2003 >> CR-V EX, Standard >> Repair and Diagnosis >> Electrical >> Charging Systems >> Generators & Regulators >> Trouble Shooting >> Charging Circuit >> Alternator Control System Test
April 5, 2026: LEMON Manuals is launched! Read the announcement.

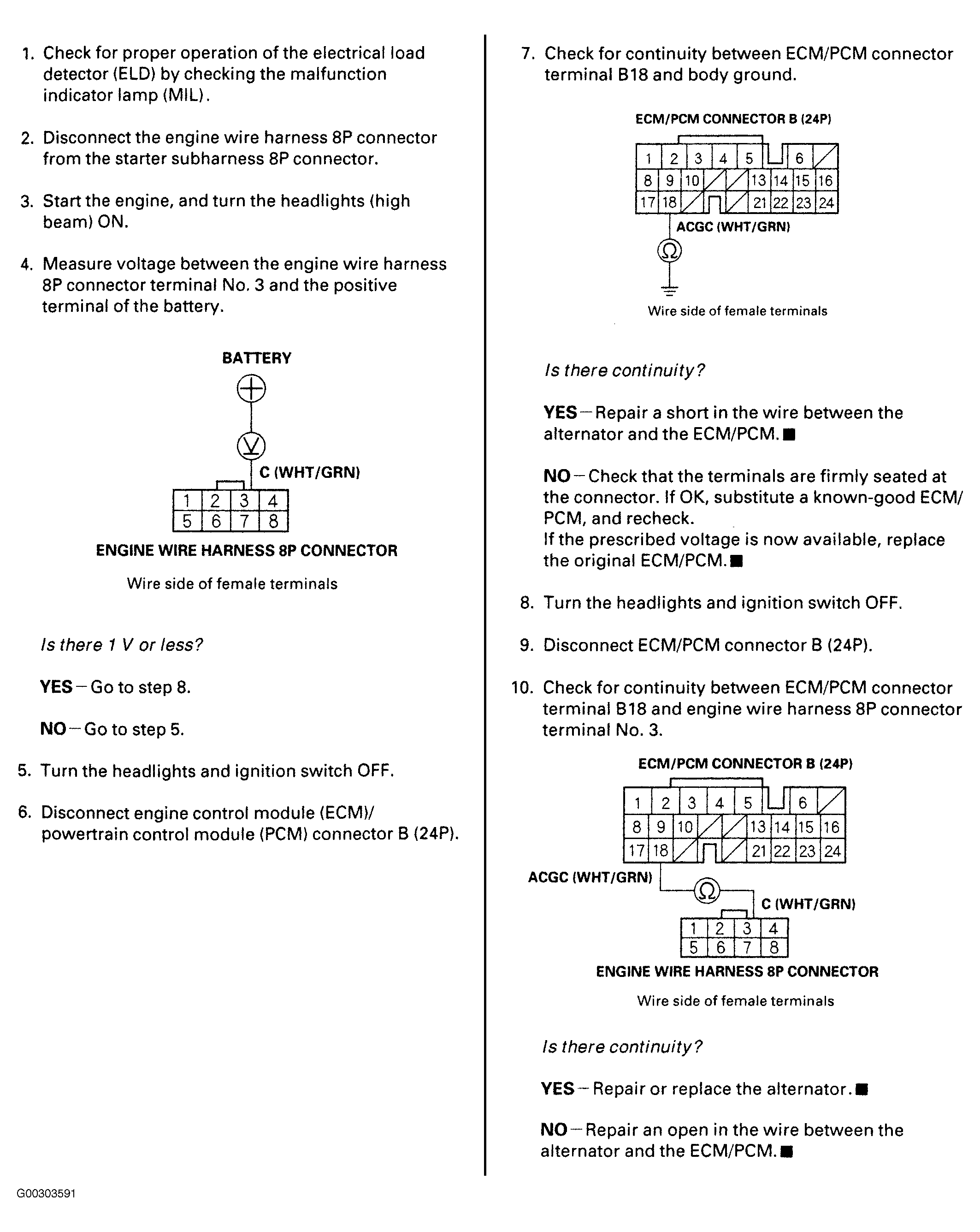
Alternator Control System Test

For alternator control system test, see Fig 1.

Fig 1: Alternator Control System Test
G00303591Courtesy of AMERICAN HONDA MOTOR CO., INC.