LEMON Manuals: Even more car manuals for everyone: 1960-2025
Home >> Honda >> 2007 >> Accord L4-2.4L >> Repair and Diagnosis >> Powertrain Management >> Computers and Control Systems >> Information Bus >> Testing and Inspection >> Scan Tool Testing and Procedures
April 5, 2026: LEMON Manuals is launched! Read the announcement.

Scan Tool Testing and Procedures

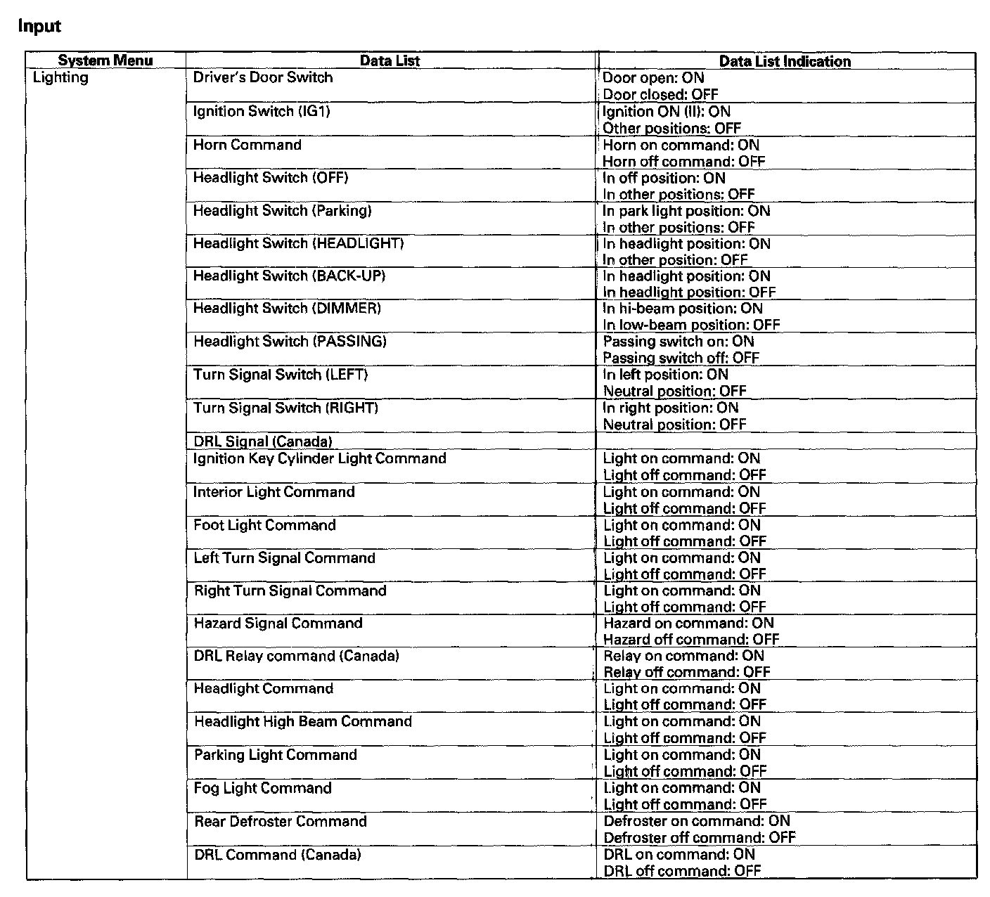
HDS Inputs And Commands Part 1:



HDS Inputs And Commands Part 2:



HDS Inputs And Commands Part 3:



HDS Inputs And Commands Part 4:



HDS Inputs And Commands Part 5:



HDS Inputs And Commands Part 6:



HDS Inputs And Commands Part 7:



HDS Inputs And Commands Part 8: