LEMON Manuals: Even more car manuals for everyone: 1960-2025
Home >> Honda >> 2012 >> Odyssey V6-3.5L >> Repair and Diagnosis >> Powertrain Management >> Computers and Control Systems >> Information Bus >> Description and Operation >> Multiplex Integrated Control System Description
April 5, 2026: LEMON Manuals is launched! Read the announcement.

Multiplex Integrated Control System Description




Multiplex Integrated Control System Description

Body Controller Area Network (B-CAN) and Fast Controller Area Network (F-CAN)

The body controller area network (B-CAN) and the fast controller area network (F-CAN) share information between multiple electronic control units (ECUs). B-CAN communication moves at a slower speed (125 kbps) for convenience related items and for other functions. F-CAN information moves at a faster speed (500 kbps) for "real time" functions such as fuel and emissions data. To allow both systems to share information, the gauge control module translates and relays the information from B-CAN to F-CAN and from F-CAN to B-CAN. This is called the Gateway Function.






Gateway Function

The gauge control module acts as a gateway to allow both systems to share information. The gauge control module translates and relays the information from B-CAN to F-CAN and from F-CAN to B-CAN.






Network "Loss of Communication" Error Checking Function

The ECUs on the CAN circuit send messages to each other. If there are any communication malfunctions on the network, the LCD display or multi-information display (MID) on the gauge control module can indicate the error messages by entering the gauge control module self-diagnostic function Testing and Inspection.

With multi-information display





Self-Diagnostic Function (On-Board Diagnosis)

By connecting the HDS to the data link connector (DLC), the HDS can retrieve the diagnostic information from the MICU via a diagnostic line called the K-LINE. The K-LINE is a separate communication line from the CAN lines, and is connected to most of the CAN related ECUs. The MICU is a gateway between the HDS and B-CAN related ECUs, and sends B-CAN diagnostic information to the HDS. When doing a function test with the HDS, the HDS sends an output signal through the K-LINE to the MICU. The MICU either relays the request to another ECU, or commands the function itself.






Wake-Up and Sleep Function

The multiplex integrated control system has wake-up and sleep functions to decrease parasitic draw on the battery when the ignition switch is in LOCK (0).

- In the sleep mode, the multiplex integrated control system stops functioning (communication and CPU control) when it is not necessary for the system to operate.
- As soon as any operation is requested (for example, a door is unlocked), the related control units in the sleep mode immediately wake up and begin to function.
- When the ignition switch is turned to LOCK (0) and the driver's door is opened, then closed, there is a delay of about 40 seconds before the control unit goes from the wake-up mode to the sleep mode.
- The sleep mode will not function or will not occur if any door or the tailgate is open, or if a key is in the ignition switch.

NOTE: Sleep and Wake-Up Mode Test Multiplex Integrated Control System Sleep and Wake-Up Mode Test.

Fail-Safe Function

To prevent improper operation, the MICU has a fail-safe function. In the fail-safe mode, the output signal is fixed when any part of the system malfunctions (for example, a faulty control unit or communication line).

Each control unit has a hardware fail-safe function that fixes the output signal when there is a CPU malfunction, and a software fail-safe function that ignores the signal from a malfunctioning control unit, which allows the system to operating normally.

Hardware Fail-Safe Control

When a CPU problem or an abnormal power supply voltage is detected, the MICUs move to the hardware fail-safe mode, and each system output load is set to the pre-programmed fail-safe value.

Software Fail-Safe Control

When any of the data from the B-CAN circuit cannot be received within a specified time, or an unusual combination of data is recognized, the MICUs move to the software fail-safe mode. The data that cannot be received is forced to a pre-programmed value.

MICU

Power Supply Voltage Monitoring Function

The MICU monitors the power supply voltage (back-up voltage). If the voltage drops below 10 V, the MICU does not store DTCs.






Entry Lights Control System (Ceiling Lights, Map Lights, Ignition Key Light)

The MICU controls the interior lights and ignition key light ON/OFF based on inputs from each switch and B-CAN data.






Courtesy Light

The MICU controls the courtesy lights based on inputs from the driver's and front passenger's door switches and B-CAN data.






Turn Signal/Hazard Warning Lights

The MICU controls the turn signal/hazard warning lights based on inputs from the turn signal switch and the hazard warning switch.






Collision Detection Signal (CDS)

The MICU controls the door lock actuators based on inputs from the ignition switch (IG1) and B-CAN data.






Automatic Lighting System

The MICU controls the automatic lighting system based on inputs from each switch and B-CAN data.






Key Interlock

The MICU controls the key interlock solenoid based on inputs from each switch.






Power Door Locks

The MICU controls the door lock actuators based on inputs from each switch and B-CAN data.






Door Lock Response Operation

The MICU controls the door lock actuators based on door lock signal sent by B-CAN data.






Keyless Entry System

The MICU controls the door lock actuators based on inputs from each switch and B-CAN data.






Keyless Answer Back

The MICU controls the lighting system and horns based on keyless signals sent by B-CAN.






Security Answer Back

The MICU controls the lighting system and horns based on keyless signals sent by B-CAN.






Answer Back Response Operation

The MICU controls the turn signal lights based on inputs from the ignition switch (IG1) and B-CAN data.






Auto Power Door Locks (LOCK Operation)

The MICU controls the door lock actuators based on inputs from each switch and B-CAN data.






Auto Power Door Locks (UNLOCK Operation)

The MICU controls the door lock actuators based on inputs from each switch and B-CAN data.






Security Alarm System

The MICU controls the lighting system and the horns based on inputs from each switch and B-CAN data.






Prevention of Key Locked Inside Vehicle

The MICU controls the door lock actuators based on inputs from each switch and B-CAN data.






Power Window Relay

The MICU controls the power windows based on inputs from each switch and B-CAN data.






Interior Lights Reminder

The MICU controls the interior lights OFF based on inputs from each switch and B-CAN data.






Combination Light Switch

The MICU controls the lighting system based on inputs from each switch.






Windshield Wiper Switch

The MICU controls the windshield wiper based on inputs from each switch.






Rear Window Wiper Switch

The MICU controls the rear window wiper motor and washer motor based on inputs from each switch.






Rear MICU

Power Supply Voltage Monitoring Function

The rear MICU monitors the power supply voltage (back-up voltage). If the voltage drops below 10 V, the rear MICU does not store DTCs.






Rear Window Wiper Operation

The rear MICU controls the rear window wiper motor and washer motor based on inputs from each switch and B-CAN data.






Tailgate Outer Handle Switch Operation

The rear MICU controls the tailgate release actuator based on inputs from each switch and B-CAN data.






Cargo Area Light

The rear MICU controls the cargo area light based on inputs from each switch and B-CAN data.






Relay Control Module

Power Supply Voltage Monitoring Function

The relay control module monitors the power supply voltage (back-up voltage). If the voltage drops below 10 V, the relay control module does not store DTCs.






Exterior Lights

The relay control module controls the exterior lights based on combination light switch inputs sent by B-CAN data.






Daytime Running Lights

The relay control module controls daytime running lights based on inputs from the ignition switch (IG2) and B-CAN data.






Automatic Lighting System

The relay control module controls automatic lighting based on inputs from the ignition switch (IG1) and B-CAN data.






Exterior Lights Shutoff System

The relay control module controls the exterior lights shutoff based on inputs from the ignition switch (IG1) and B-CAN data.






Fog Lights

The relay control module controls the fog lights based on combination light switch inputs sent by B-CAN data.






Windshield Wiper Operation

The relay control module controls the windshield wiper based on inputs from each switch and B-CAN data.






Washer Operation

The relay control module controls the rear windshield washer motor and washer motor based on inputs from the ignition switch (IG1) and B-CAN data.






Security Alarm System

The relay control module controls the security system based on inputs from the security input sent by B-CAN data.






Answer Back Response Operation

The relay control module controls the exterior lights and the horn based on keyless input sent by B-CAN data.






Keyless Panic Function

The relay control module controls the keyless PANIC function based on PANIC inputs sent by B-CAN data.






Rear Window Defogger Operation

The relay control module controls the rear window defogger based on inputs from the ignition switch (IG1) and B-CAN data.






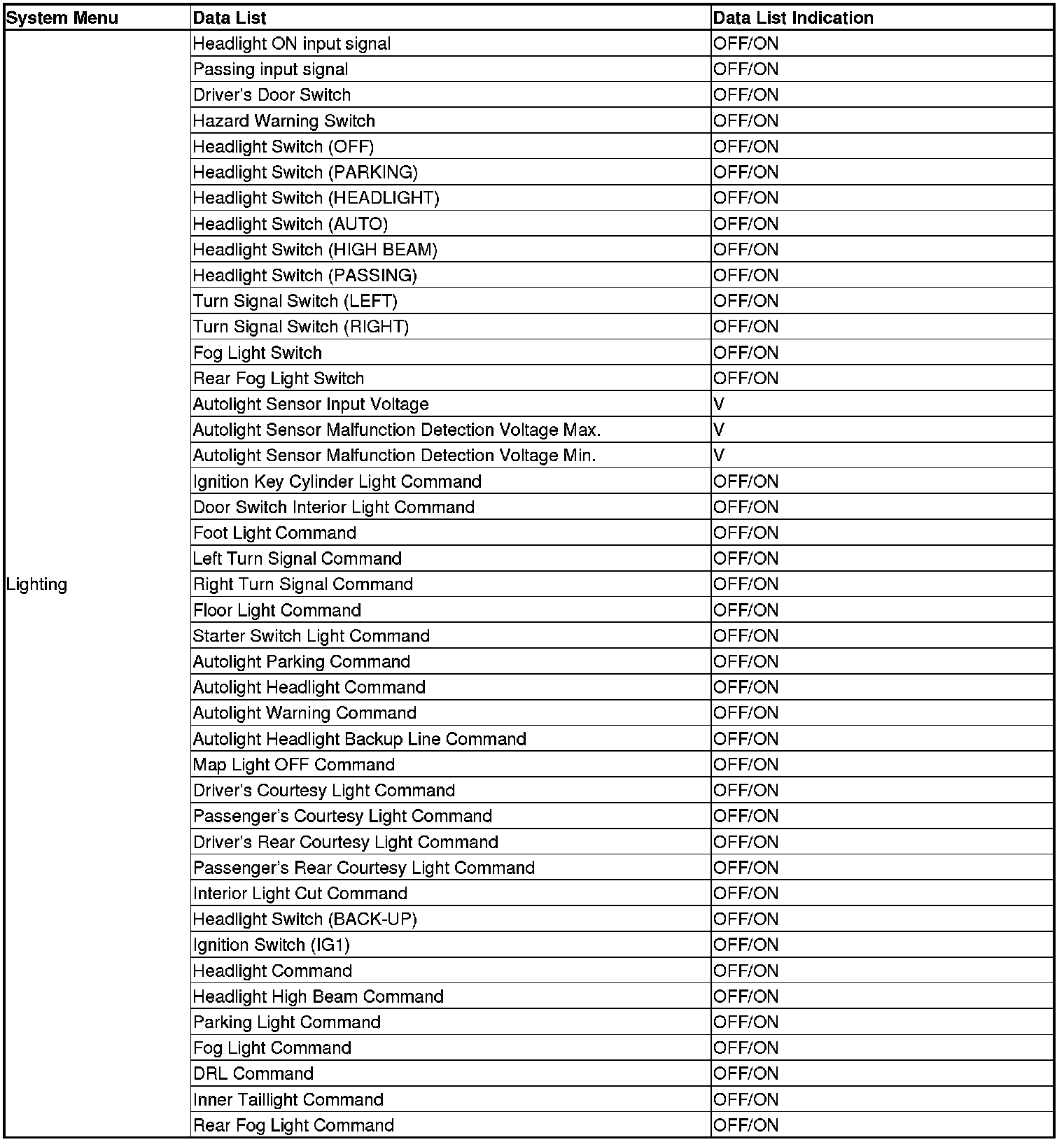
HDS Inputs and Function Tests

Certain inputs happen so quickly that the Data List on the HDS cannot update fast enough. Hold the switch that is being tested while monitoring the Data List. This should give the HDS time to update the signal on the Data List.

Because the HDS software is updated to support the release of newer vehicles, it is not uncommon to see system function tests that are not supported.

Make sure that the most current HDS software is loaded.

Input:

































Function Test: