LEMON Manuals: Even more car manuals for everyone: 1960-2025
Home >> Hummer >> 2007 >> H2 V8-6.0L >> Repair and Diagnosis >> Body and Frame >> Seats >> Testing and Inspection >> Scan Tool Testing and Procedures >> Scan Tool Data List >> Driver Seat Module
April 5, 2026: LEMON Manuals is launched! Read the announcement.

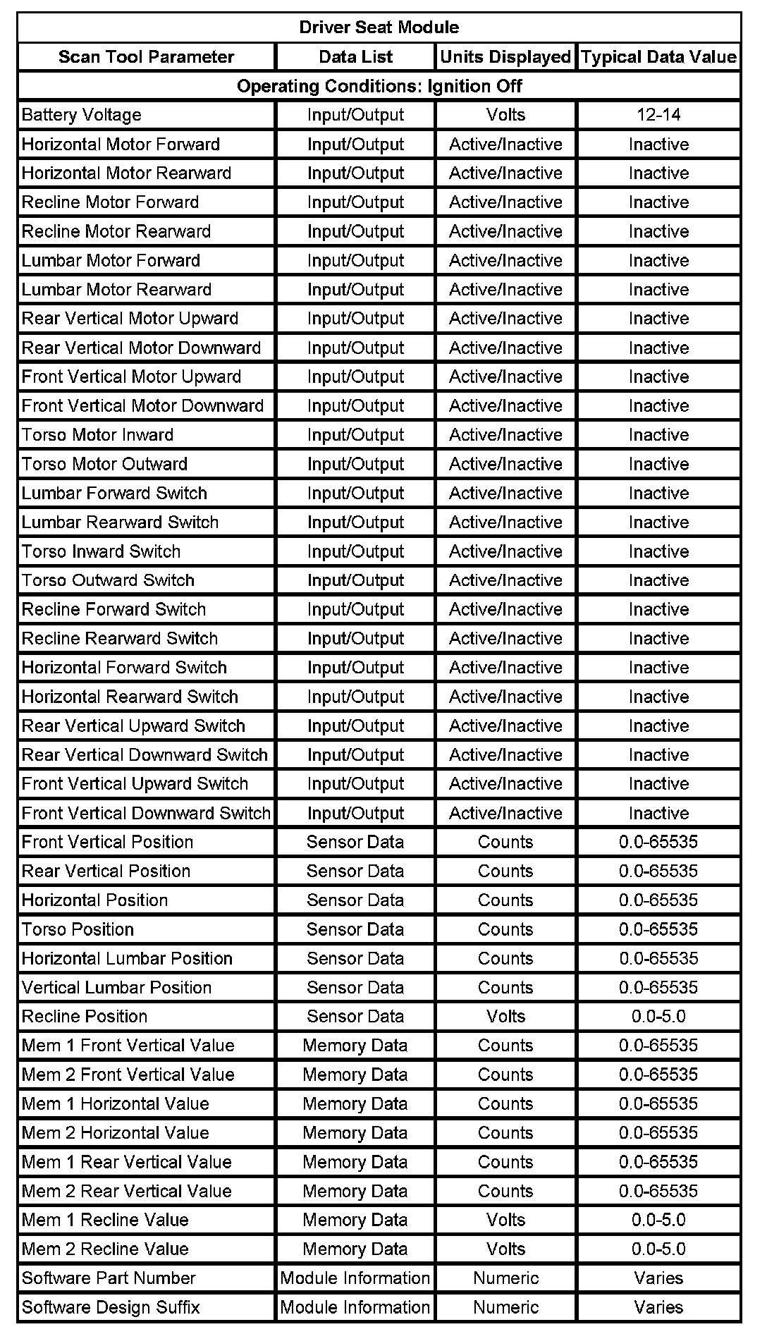
Driver Seat Module



Scan Tool Data List