LEMON Manuals: Even more car manuals for everyone: 1960-2025
Home >> Hummer >> 2007 >> H2 V8-6.0L >> Repair and Diagnosis >> Lighting and Horns >> Testing and Inspection >> Scan Tool Testing and Procedures >> Scan Tool Data List >> Body Control Module (BCM)
April 5, 2026: LEMON Manuals is launched! Read the announcement.

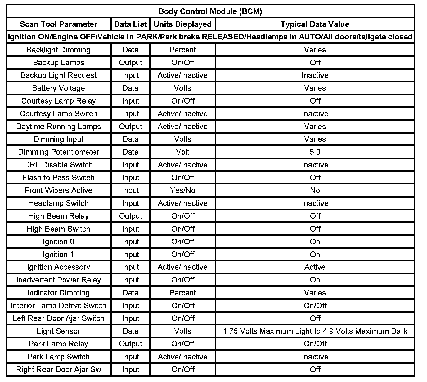
Body Control Module (BCM)



Scan Tool Data List

Test