LEMON Manuals: Even more car manuals for everyone: 1960-2025
Home >> Hummer >> 2008 >> H2 V8-6.2L >> Repair and Diagnosis >> Technical Service Bulletins >> All Technical Service Bulletins >> Recall - Heated Windshield Washer Module Short Circuit >> Overview
April 5, 2026: LEMON Manuals is launched! Read the announcement.

Recall - Heated Windshield Washer Module Short Circuit: Overview

SAFETY

Bulletin No.: 10153B

Date: July 20, 2010

Subject: 10153A - Heated Windshield Washer Module Short Circuit - Permanently Disable and Remove Module

Models:
2006-2009 Buick Lucerne
2008-2009 Buick Enclave
2006-2009 Cadillac DTS
2007-2009 Cadillac Escalade, Escalade ESV, Escalade EXT
2008-2009 Cadillac CTS
2007-2009 Chevrolet Avalanche, Silverado, Suburban, Tahoe
2009 Chevrolet Traverse
2007-2009 GMC Acadia, Sierra, Yukon, Yukon XL
2006-2009 HUMMER H2
2007-2009 Saturn OUTLOOK
Equipped with Heated Washer Fluid System (RPO XA7/CHW)

Supercede:
This bulletin is being revised to include a note in the service procedure for dealers to confirm that the customer is aware that this safety recall is being performed on their vehicle prior to performing the repair. A T labor code for customers who refuse to have the recall performed. This labor code will NOT close the recall. If a customer refuses to have the recall performed, dealers are to provide the customer with a copy of the "Notice to Customer" document contained in this bulletin, record on the repair order "customer declined recall repair" and, if possible, have the customer sign the repair order. Request that the letter be placed in the vehicle glovebox for future reference by subsequent owners. If at a later date the customer, or a new owner, decides to have the recall performed, perform the repair and submit the claim using the appropriate V labor code. A clarification in the Q&A regarding proof of vehicle ownership. Please discard all copies of bulletin 10153A, issued July 2010.

Condition

General Motors has decided that a defect, which relates to motor vehicle safety, exists in certain 2006-2009 model year Buick Lucerne; Cadillac DTS; HUMMER H2; 2008-2009 model year Buick Enclave; Cadillac CTS; 2007-2009 model year Cadillac Escalade, Escalade ESV, Escalade EXT; Chevrolet Avalanche, Silverado, Suburban, Tahoe; GMC Acadia, Sierra, Yukon, Yukon XL; Saturn OUTLOOK; and 2009 model year Chevrolet Traverse vehicles equipped with a heated washer fluid system (RPO XA7/CHW). A recall was implemented on some vehicles in 2008 to add a fuse to the HWFS control circuit harness to address the potential consequences of a printed circuit board electrical short. However, there have been new reports of thermal incidents on HWFS modules after this improvement was installed. These incidents resulted from a new failure mode attributed to the device's thermal protection feature. Their significance varies from minor distortion to considerable melting of the plastic around the HWFS fluid chamber. In some circumstances, it is possible for the heated washer module to cause a fire.

Correction

Dealers/retailers are to permanently disable and remove the heated washer fluid system and compensate the customer for the loss of the feature.

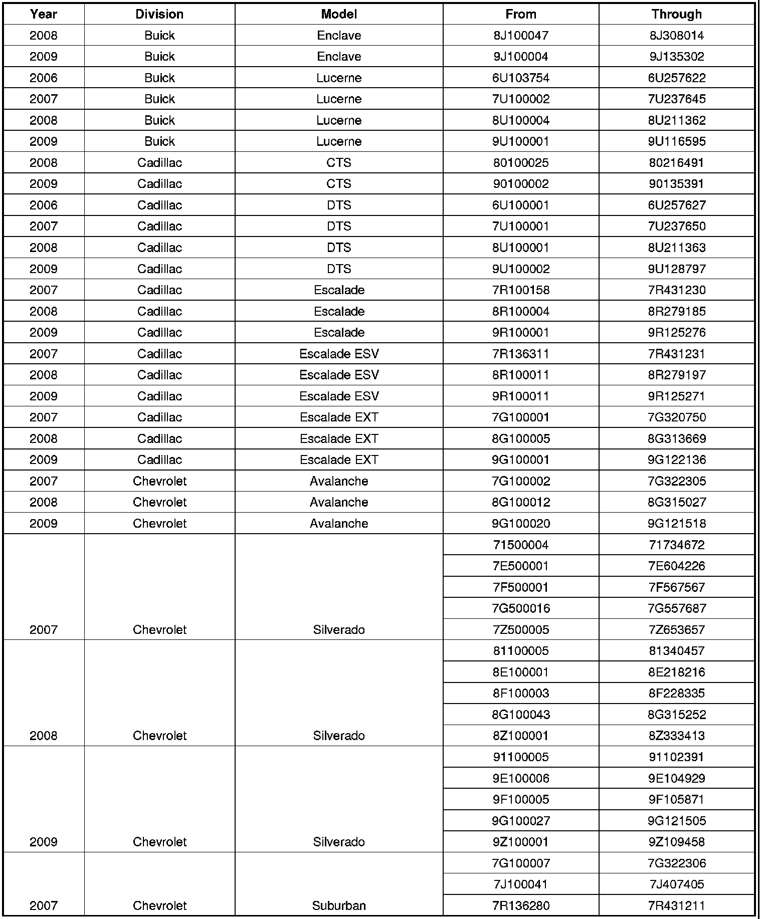
Vehicles Involved

Involved are certain 2006-2009 model year Buick Lucerne; Cadillac DTS; HUMMER H2; 2008-2009 model year Buick Enclave; Cadillac CTS; 2007-2009 model year Cadillac Escalade, Escalade ESV, Escalade EXT; Chevrolet Avalanche, Silverado, Suburban, Tahoe; GMC Acadia, Sierra, Yukon, Yukon XL; Saturn OUTLOOK; and 2009 model year Chevrolet Traverse vehicles equipped with a heated washer fluid system (RPO XA7/CHW), and built within these VIN breakpoints:











Important
Dealers/retailers are to confirm vehicle eligibility prior to beginning repairs by using the Investigate Vehicle History link. Not all vehicles within the above breakpoints may be involved.

For dealers/retailers with involved vehicles, a listing with involved vehicles containing the complete vehicle identification number, customer name, and address information has been prepared and will be provided to US and Canadian dealers/retailers through the GM GlobalConnect Recall Reports, or sent directly to export dealers. Dealers/retailers will not have a report available if they have no involved vehicles currently assigned.

The listing may contain customer names and addresses obtained from Motor Vehicle Registration Records. The use of such motor vehicle registration data for any purpose other than follow-up necessary to complete this recall is a violation of law in several states/provinces/countries. Accordingly, you are urged to limit the use of this report to the follow-up necessary to complete this recall.

Parts Information

No parts are required for this recall.

Customer Reimbursement - For GM US

All customer requests for reimbursement of previously paid repairs for the recall condition will be handled by the Customer Assistance Center, not by dealers.

A General Motors Customer Reimbursement Procedure and Claim Form is included with the customer letter.

Note
(For GM US Only) Refer to the GM Service Policies and Procedures Manual, section 6.1.12, for specific procedures regarding customer reimbursement and the form.

Customer Reimbursement - For Canada and Export

Customer requests for reimbursement of previously paid repairs for the recall condition are to be submitted to the dealer by June 8, 2011.

All reasonable customer paid receipts should be considered for reimbursement. The amount to be reimbursed will be limited to the amount the repair would have cost if completed by an authorized General Motors dealer.

When a customer requests reimbursement, they must provide the following:

- Proof of ownership at time of repair.
- Original paid receipt confirming the amount of repair expense(s) that were not reimbursed, a description of the repair, and the person or entity performing the repair.

Claims for customer reimbursement on previously paid repairs are to be submitted as required by WINS or GWM.

Note
Refer to the GM Service Policies and Procedures Manual, section 6.1.12, for specific procedures regarding customer reimbursement verification.

Customer Reimbursement - For Saturn US Only

All customer requests for reimbursement for previous repairs for the recall condition are handled by submitting a recall reimbursement claim form directly to Saturn retailers for processing; however, if customers choose, they may file a claim through the Saturn Customer Assistance Center.

A Saturn Customer Reimbursement Procedure and Claim Form are included with the customer letter.

Courtesy Transportation - For US and Canada

The General Motors Courtesy Transportation program is intended to minimize customer inconvenience when a vehicle requires a repair that is covered by the New Vehicle Limited Warranties. The availability of courtesy transportation to customers whose vehicles are within the warranty coverage period and involved in a product program is very important in maintaining customer satisfaction. Dealers/retailers are to ensure that these customers understand that shuttle service or some other form of courtesy transportation is available and will be provided at no charge. Dealers should refer to the General Motors Service Policies and Procedures Manual for Courtesy Transportation guidelines.

Claim Information

1. Submit a claim using the table below.

2. Courtesy Transportation - submit as Net Item under the repair labor code.





Customer Notification - For US and Canada

General Motors will notify customers of this recall on their vehicle (see copy of customer letter included with this bulletin).

Customer Notification - For Export

Letters will be sent to known owners of record located within areas covered by the US National Traffic and Motor Vehicle Safety Act. For owners outside these areas, dealers should notify customers using the attached sample letter.

Dealer Recall Responsibility - For US and Export (US States, Territories, and Possessions)

The US National Traffic and Motor Vehicle Safety Act provides that each vehicle that is subject to a recall of this type must be adequately repaired within a reasonable time after the customer has tendered it for repair. A failure to repair within sixty days after tender of a vehicle is prima facie evidence of failure to repair within a reasonable time. If the condition is not adequately repaired within a reasonable time, the customer may be entitled to an identical or reasonably equivalent vehicle at no charge or to a refund of the purchase price less a reasonable allowance for depreciation. To avoid having to provide these burdensome remedies, every effort must be made to promptly schedule an appointment with each customer and to repair their vehicle as soon as possible. In the recall notification letters, customers are told how to contact the US National Highway Traffic Safety Administration if the recall is not completed within a reasonable time.

Dealer Recall Responsibility - All

All unsold new vehicles in dealers' possession and subject to this recall must be held and inspected/repaired per the service procedure of this recall bulletin before customers take possession of these vehicles.

Dealers are to service all vehicles subject to this recall at no charge to customers, regardless of mileage, age of vehicle, or ownership, from this time forward.

Customers who have recently purchased vehicles sold from your vehicle inventory, and for which there is no customer information indicated on the dealer listing, are to be contacted by the dealer. Arrangements are to be made to make the required correction according to the instructions contained in this bulletin. A copy of the customer letter is provided in this bulletin for your use in contacting customers. Recall follow-up cards should not be used for this purpose, since the customer may not as yet have received the notification letter.

In summary, whenever a vehicle subject to this recall enters your vehicle inventory, or is in your dealership for service in the future, you must take the steps necessary to be sure the recall correction has been made before selling or releasing the vehicle.

"An unattended (vehicle parked - key not in the "ON" position) under hood fire that can occur at any time and possibly involve nearby vehicles or structures."

If the customer still refuses, provide the customer with a copy of the "Notice to Customer" document contained in this bulletin, record "customer declined recall repair" on the repair order and, if possible, have the customer sign the repair order. Retain this repair order at the dealership.





Disclaimer