LEMON Manuals: Even more car manuals for everyone: 1960-2025
Home >> Hummer >> 2008 >> H3 L5-3.7L >> Repair and Diagnosis >> Relays and Modules >> Relays and Modules - Powertrain Management >> Relays and Modules - Computers and Control Systems >> Engine Control Module >> Diagrams >> Diagnostic Aids >> Decimal and Metric Equivalents
April 5, 2026: LEMON Manuals is launched! Read the announcement.

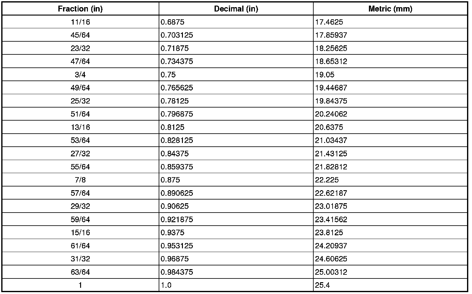
Decimal and Metric Equivalents



Decimal and Metric Equivalents