LEMON Manuals: Even more car manuals for everyone: 1960-2025
Home >> Hyundai >> 1993 >> Elantra L4-1.8L >> Repair and Diagnosis >> Cruise Control >> Testing and Inspection >> Speed Control Symptom Chart
April 5, 2026: LEMON Manuals is launched! Read the announcement.

Speed Control Symptom Chart

Fig. 7 Speed Control Symptom Chart (Part 1 Of 5):



Fig. 7 Speed Control Symptom Chart (Part 2 Of 5):



Fig. 7 Speed Control Symptom Chart (Part 3 Of 5):



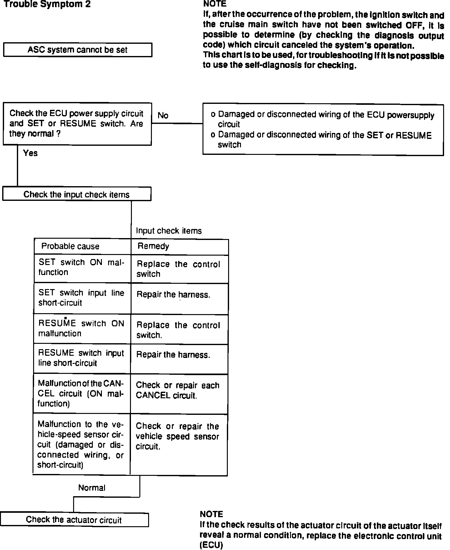
Fig. 7 Speed Control Symptom Chart (Part 4 Of 5):



Fig. 7 Speed Control Symptom Chart (Part 5 Of 5):