LEMON Manuals: Even more car manuals for everyone: 1960-2025
Home >> Hyundai >> 1996 >> Sonata L4-2.0L >> Repair and Diagnosis >> Powertrain Management >> Computers and Control Systems >> Transmission Position Sensor/Switch >> Testing and Inspection
April 5, 2026: LEMON Manuals is launched! Read the announcement.

Transmission Position Sensor/Switch: Testing and Inspection





CIRCUIT DIAGRAM





INSPECTION USING SCAN TOOL





HARNESS INSPECTION PROCEDURE





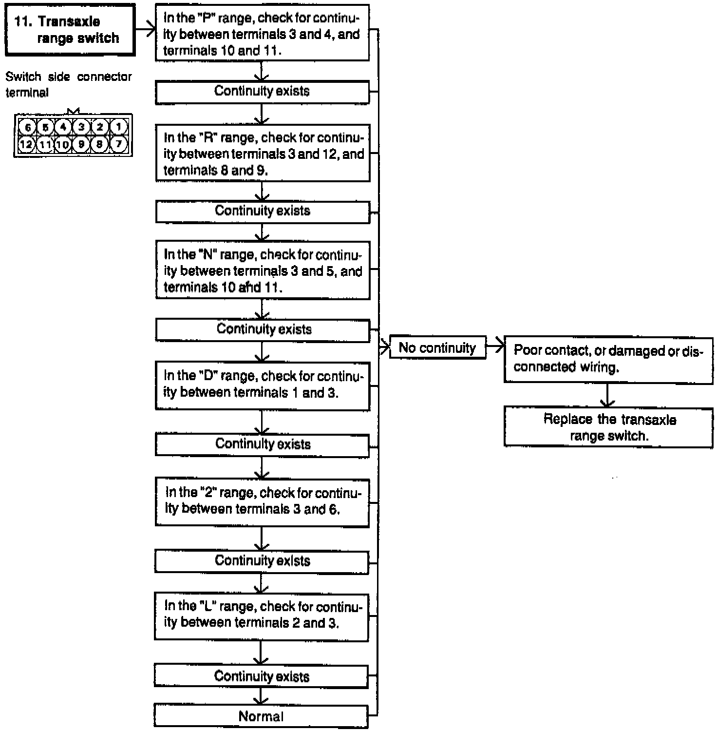
TRANSAXLE TEST CHART

TROUBLESHOOTING HINTS
If the transaxle range switch harness check is normal but the transaxle range switch output is abnormal, check the control cable adjustment.