LEMON Manuals: Even more car manuals for everyone: 1960-2025
Home >> Hyundai >> 1998 >> Tiburon L4-1.8L >> Repair and Diagnosis >> Powertrain Management >> Computers and Control Systems >> Coolant Temperature Sensor/Switch (For Computer) >> Technical Service Bulletins >> Engine Fault Code - Diagnostic Manual Update
April 5, 2026: LEMON Manuals is launched! Read the announcement.

Engine Fault Code - Diagnostic Manual Update

Group: ENGINE ELECTRICAL

Number: 98-36-003

Date: APRIL, 1998

Model: ALL

Subject
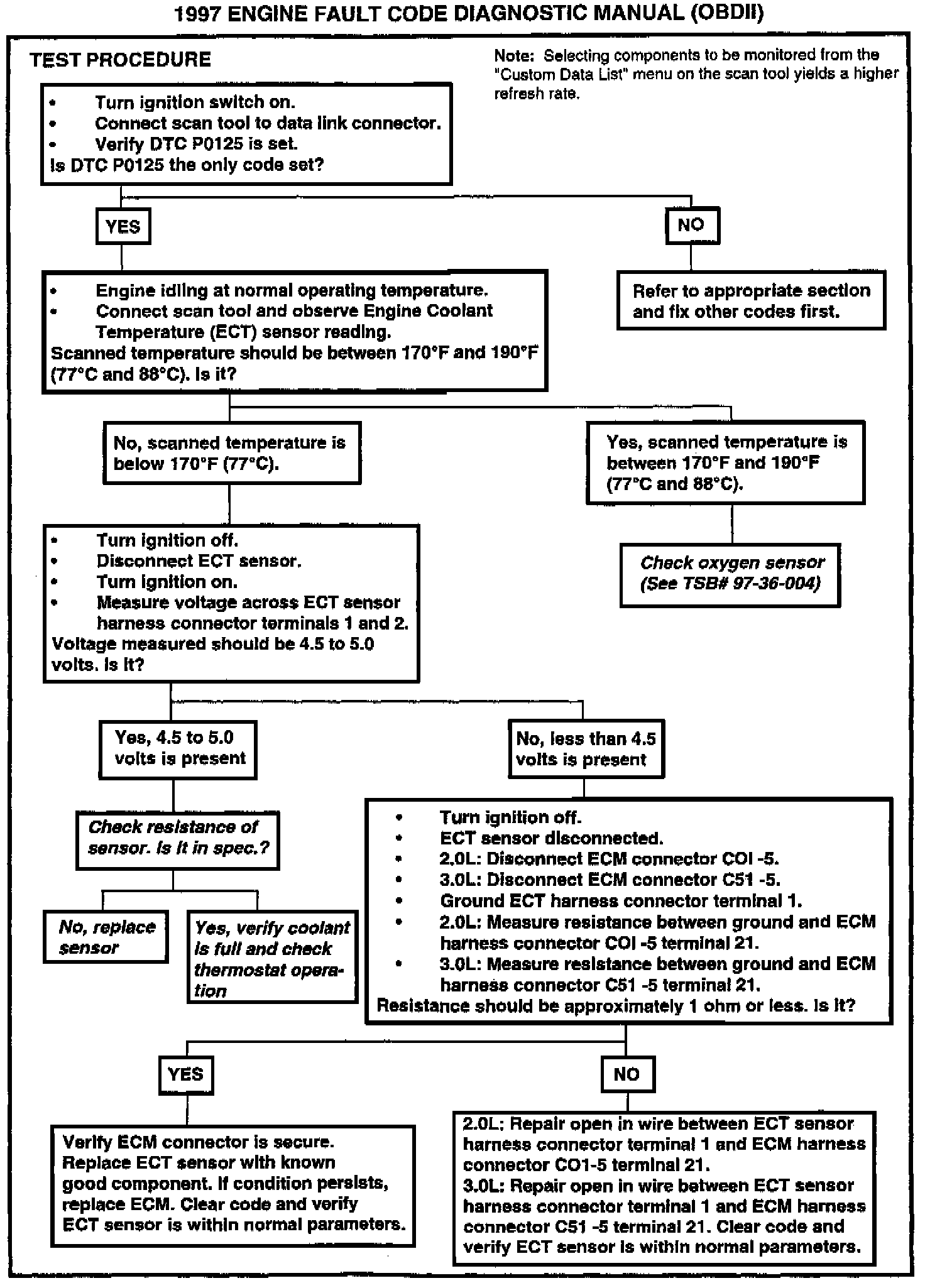
1997 FAULT CODE DIAGNOSTIC MANUAL UPDATE (CODE P0125)

DESCRIPTION:

This TSB provides updated information for diagnostic code P0125 (Delayed closed loop operation). A P0125 code may be set by inaccurate readings from the Engine Coolant Temperature (ECT) sensor or may also be set by an oxygen sensor reading.




`v�:





Please discard pages P0125-1 and P0125-2 in the 1997 Engine Fault Code Diagnostic Manual (OBD-II), part no. NP150-07001, and insert this page for future reference.