LEMON Manuals: Even more car manuals for everyone: 1960-2025
Home >> Hyundai >> 2001 >> XG300 Base >> Repair and Diagnosis >> Transmission >> Automatic Trans >> Automatic Transaxle System Troubleshooting >> Troubleshooting (A/T) >> Notes
April 5, 2026: LEMON Manuals is launched! Read the announcement.

Troubleshooting (A/T): Notes

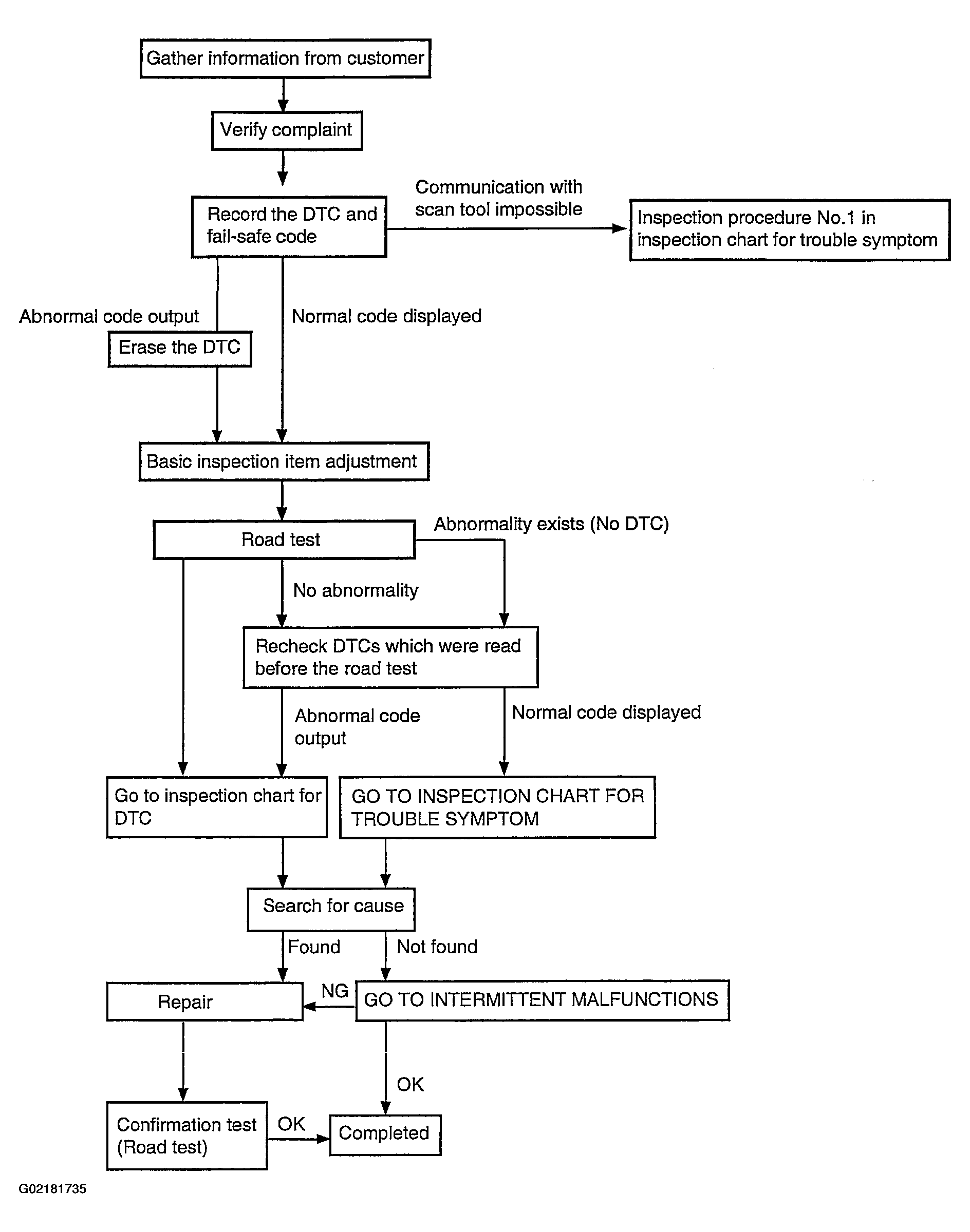
Fig 1: Troubleshooting Flow Chart
G02181735